【導讀】在上一篇文章“如何在實現高帶寬和低噪聲的同時確保穩定性?(一)”中,我們介紹了如何選擇外部元件以保證穩定性和計算TIA噪聲。本文,我們將介紹單增益級的噪聲優勢。
可編程增益級貢獻的噪聲
如果在跨阻放大器之后添加一個PGA,輸出端的噪聲將是PGA噪聲加上TIA噪聲乘以額外增益的和。例如,假設應用需要1和10的增益,使用總輸入噪聲密度為10nV/√Hz的PGA,那么PGA造成的輸出噪聲將是10nV/√Hz或100nV/√Hz。
要計算系統的總噪聲,同樣可以對TIA的噪聲貢獻和PGA的噪聲貢獻求和方根,如圖1所示。本例假設PGA包括一個34 kHz濾波器。可以看到,增益為10時,TIA的噪聲貢獻乘以PGA增益后出現在PGA的輸出端。

圖1:TIA+PGA架構的系統總噪聲
正如我們所預期的,PGA以10倍增益工作與PGA以1倍增益工作相比,輸出噪聲略大于10倍。
單增益級的噪聲優勢
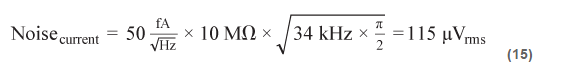
另一種方法是使用具有可編程增益的跨阻放大器,徹底消除PGA級。圖9顯示了具有兩個可編程跨阻增益(1MΩ和10MΩ)的理論電路。各跨阻電阻需要以自己的電容來補償光電二極管的輸入電容。為與上例保持一致,兩種增益設置下的信號帶寬仍為34kHz。這意味著,應選擇一個0.47pF電容與10MΩ電阻并聯。這種情況下,使用1MΩ電阻時的輸出電壓噪聲與公式12相同。使用10MΩ跨阻增益時,較大的電阻導致較高的約翰遜噪聲、較高的電流噪聲(此時的電流噪聲乘以10MΩ而不是1MΩ)和較高的噪聲增益。同理,三個主要噪聲源為:





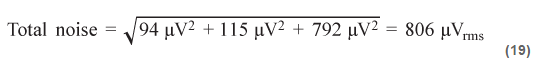
總輸出噪聲為:

在輸出端添加一個帶寬為34kHz的單極點RC濾波器可降低噪聲,系統總噪聲為460μVrms。由于增益較高,fp2更接近信號帶寬,因此降噪效果不如使用1MΩ增益那樣顯著。
圖2是兩種放大器架構的噪聲性能小結。對于10MΩ的跨阻增益,總噪聲比兩級電路低大約12%。

圖2:系統總噪聲比較
可編程增益跨阻放大器
圖3顯示了一個可編程增益跨阻放大器。這是一個很好的概念設計,但模擬開關的導通電阻和漏電流會引入誤差。導通電阻引起電壓和溫度相關的增益誤差,漏電流引起失調誤差,特別是在高溫時。

圖3:可編程跨阻放大器
圖4所示電路在每個跨阻分支中使用兩個開關,從而避免了上述問題。雖然它需要的開關數量加倍,但左側開關的導通電阻在反饋環路內,因此輸出電壓僅取決于通過所選電阻的電流。右側開關看似輸出阻抗,如果放大器驅動ADC驅動器等高阻抗負載,它產生的誤差可忽略不計。

圖4:帶開爾文開關的可編程增益跨阻放大器
圖4電路適用于DC和低頻,但在關斷狀態下,開關上的寄生電容是另一大難題。這些寄生電容在圖4中標記為Cp,將未使用的反饋路徑連接到輸出端,因此會降低整體帶寬。圖5顯示這些電容最終如何連接到未選擇的增益分支,從而將跨阻增益變為選定增益與未選定增益衰減版本的并聯組合。

圖5:包括開關寄生電容的總反饋電容
根據所需的帶寬和反饋電阻,寄生電容可能導致放大器的預期行為與實測行為大不相同。例如,假設圖5中的放大器使用與上一電路相同的1MΩ和10MΩ值,相應的電容分別為4.7pF和0.47pF,我們選擇10MΩ增益。如果各開關具有大約0.5pF的饋通電容,考慮寄生路徑,理想帶寬與實際帶寬的差異如圖6所示。

圖6:包括寄生開關電容的跨阻增益
解決該問題的一種方法是將各開關替換為兩個串聯開關。這樣,寄生電容將減半,但需要更多元件。圖7顯示了這種方法。

圖7:增加串聯開關以降低總寄生電容
如果應用需要更高的帶寬,第三種方法是利用SPDT開關將每個未使用的輸入端連接到地。雖然各斷開開關的寄生電容仍在電路內,但圖8b顯示了各寄生電容看起來是如何從運算放大器的輸出端連接到地,或從未使用反饋分支的末端連接到地。從放大器輸出端到地的電容常常導致電路不穩定和響應振蕩,但在這種情況下,總寄生電容僅有幾pF,不會對輸出端產生嚴重影響。從反相輸入端到地的寄生電容會與光電二極管的分流電容和運算放大器自有的輸入電容相加,與光電二極管的大分流電容相比,增加量微乎其微。假設各開關有0.5pF的饋通電容,運算放大器輸出端將增加2pF負載,大部分運算放大器都能毫無困難地驅動。

圖8:使用SPDT開關的可編程TIA
但是,像任何事情一樣,圖8所示的方法也有缺點。它更復雜,對于兩個以上的增益可能難以實現。此外,反饋環路中的兩個開關會引入直流誤差和失真。根據反饋電阻的值不同,額外帶寬可能很重要,足以保證這種小誤差不影響電路工作。例如,對于1MΩ反饋電阻,ADG633 的導通電阻在室溫下產生大約50ppm的增益誤差和5μV的失調誤差。但是,如果應用要求最高帶寬,那么可以說這是一個缺點。
結論
光電二極管放大器是大多數化學分析和材料鑒別信號鏈的基本組成部分。利用可編程增益,工程師可以設計儀器來精確測量非常大的動態范圍。本文說明如何在實現高帶寬和低噪聲的同時確保穩定性。設計可編程增益TIA涉及到開關配置、寄生電容、漏電流和失真等挑戰,但選擇合適的配置并仔細權衡利弊可以實現出色的性能。
推薦閱讀:






