【導讀】本設計實例介紹了一種基于OVP/UVP測試、負載余量測試、電壓可編程性或其它任何理由而需要調節電源輸出電壓的方法。





圖1電源輸出電壓雙向調節電路。
圖1所示電路可以通過向反饋節點輸出或輸入電流實現電源輸出電壓的雙向調節。它可以通過開關進行人工操作,也可以通過三個輸入:S1 (STEP)、S2 (RESET)和S3 (U/D)進行數字操作。
S1信號的每個上升沿都會使輸出電壓VO增加或減小一個步距(在本設計中約為95mV)。S3控制調節方向(上/下),S2將VO復位到標稱值。
單獨使用U4B可確保:
1.每按壓一次S1(S1要去反彈)增加一個步距。
2.有足夠時間等待UUT保護電路作出反應。
由U5和U6組成的調節電路特點是有一個壓控的電流宿/源(VCCS)。U3B和U3C用于上移VCCS的參考點,以便:
1.參考點具有與Vref_ps相同的電平且位于中心。這樣,在中立條件下(比如在復位時),VW = 0.5Vref1 ≈ Vref2, Itrim≈0, VO≈VO(nominal)。
2.這個電路可以使用單電源,同時仍能輸入和輸出電流。
差分放大器U5產生Itrim并用以調節VO的幅度,通過使電流流入Vtrim節點來降低VO,或吸入電流來提升VO。U6是一個增益等于1的儀表放大器,用于將檢測到的電流反饋給U5。
U1/U3C電路產生兩個參考電壓Vref1和Vref2。其中Vref1是用于控制信號Vw的參考電壓。Vref2則匹配UUT的1.25V參考電壓。
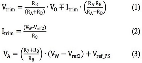
公式(1)、(2)和(3)可以用來配置這個電路以獲得不同的VO值:

下面這個例子將圖1的參數插入上述公式:
從公式(1)我們可以得到:
因此針對±25%的VO變化范圍(即30V至18V),Itrim的范圍為-26μA至+25μA。
VW的范圍是0V至2.5V。將這個數值代入公式(2)得到R8≈48kΩ。
根據公式(3):

如果R7=100Ω,那么VA(VW=0) ≈ 0V,并且VA(VW=2.5V) ≈ 2.5V
假設U2有128個步距,那么VW、Itrim和VO的分辨率分別是20mV、406nA和95mV。

圖2 Ch1:CLK; Ch2:VW; Ch3:VO; Ch4:V(R7+R8)。
圖2顯示了一些關鍵點的波形。在第一象限里,VO (Ch3)隨著每個時鐘脈沖從標稱值開始呈線性下降,直到在18V左右達到飽和。在大約半途中,S2被按下,將VO復位至標稱值,S3閉合。VO再隨著每個時鐘脈沖上升到29.5V的上限值。
當U2的滑動片處于中心位置時,Vref2和Vref_ps之間的任何失配都會給Itrim帶來偏移,從而使VO偏離標稱值。如果需要的話可以進行調節補償。
上述電路由一個5V電源供電,其電流消耗不到2mA。在一些應用中,VO可以針對這種情況進行調節和使用。
免責聲明:本文為轉載文章,轉載此文目的在于傳遞更多信息,版權歸原作者所有。本文所用視頻、圖片、文字如涉及作品版權問題,請聯系小編進行處理。
推薦閱讀:


