【導讀】印制電路板(PCB)布線在高速電路中具有關鍵的作用,但它往往是電路設計過程的最后幾個步驟之一。高速PCB布線有很多方面的問題,關于這個題目已有人撰寫了大量的文獻。本文主要從實踐的角度來探討高速電路的布線問題。
印制電路板(PCB)布線在高速電路中具有關鍵的作用,但它往往是電路設計過程的最后幾個步驟之一。高速PCB布線有很多方面的問題,關于這個題目已有人撰寫了大量的文獻。本文主要從實踐的角度來探討高速電路的布線問題。
誰都別信
如果不是你自己設計布線,一定要留出充裕的時間仔細檢查布線人的設計。在這點上很小的預防抵得上一百倍的補救。不要指望布線的人能理解你的想法。在布線設計過程的初期你的意見和指導是最重要的。
你能提供的信息越多,并且整個布線過程中你介入的越多,結果得到的PCB就會越好。給布線設計工程師設置一個暫定的完成點——按照你想要的布線進展報告快速檢查。這種“閉合環路”方法可以防止布線誤入歧途,從而將返工的可能性降至最低。
需要給布線工程師的指示包括:
電路功能的簡短描述?
標明輸入和輸出位置的PCB略圖?
PCB層疊信息?
各層需要那些信號?
要求重要元件的放置位置?
旁路元件的確切位置?
哪些印制線很重要?
哪些線路需要控制阻抗印制線?
哪些線路需要匹配長度;元件的尺寸?
哪些印制線需要彼此遠離(或靠近)?
哪些線路需要彼此遠離(或靠近)?
哪些元器件需要彼此遠離(或靠近)?
哪些元器件要放在PCB的上面,哪些放在下面?
永遠不要抱怨需要給別人的信息太多。太少嗎?是。太多嗎?不。
位置
正像在PCB中,位置決定一切。將一個電路放在PCB上的什么位置,將其具體的電路元件安裝在什么位置,以及其相鄰的其它電路是什么,這一切都非常重要。
通常,輸入、輸出和電源的位置是預先確定好的,但是它們之間的電路就需要“發揮各自的創造性”了。這就是為什么注意布線細節將產生巨大回報的原因。從關鍵元件的位置入手,根據具體電路和整個PCB來考慮。從一開始就規定關鍵元件的位置以及信號的路徑有助于確保設計達到預期的工作目標。一次就得到正確的設計可以降低成本和壓力——也就縮短了開發周期。
寄生效應
所謂寄生效應就是那些溜進你的PCB并在電路中大施破壞、頭痛令人、原因不明的小故障(按照字面意思)。它們就是滲入高速電路中隱藏的寄生電容和寄生電感。
其中包括由封裝引腳和印制線過長形成的寄生電感;焊盤到地、焊盤到電源平面和焊盤到印制線之間形成的寄生電容;通孔之間的相互影響,以及許多其它可能的寄生效應。圖1(a)示出了一個典型的同相運算放大器原理圖。但是,如果考慮寄生效應的話,同樣的電路可能會變成圖1(b)那樣。

圖1.典型的運算放大器電路,
(a)原設計圖,(b)考慮寄生效應后的圖
在高速電路中,很小的值就會影響電路的性能。有時候幾十個皮法(pF)的電容就足夠了。如果寄生電容足夠大的話,它會引起電路的不穩定和振蕩。
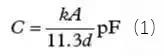
當尋找有問題的寄生源時,可能用得著幾個計算上述那些寄生電容尺寸的基本公式。公式(1)是計算平行極板電容器的公式。

公式(1)中:C表示電容值,A表示以cm2為單位的極板面積,k表示PCB材料的相對介電常數,d表示以cm為單位的極板間距離。
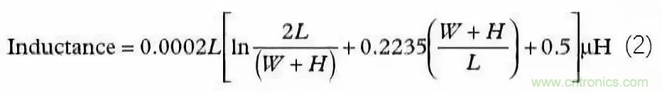
帶狀電感是另外一種需要考慮的寄生效應,它是由于印制線過長或缺乏接地平面引起的。公式(2)是計算印制線電感(Inductance)的公式。

公式(2)中:W表示印制線寬度,L表示印制線長度,H表示印制線的厚度。全部尺寸都以mm為單位。
圖2中的振蕩示出了高速運算放大器同相輸入端長度為2.54cm的印制線的影響。其等效寄生電感為29nH(10-9H),足以造成持續的低壓振蕩,會持續到整個瞬態響應周期。圖7還示出了如何利用接地平面來減小寄生電感的影響。

圖2.有接地平面和沒有接地平面的脈沖響應
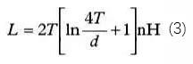
通孔是另外一種寄生源,它們能引起寄生電感和寄生電容。公式(3)是計算寄生電感的公式。

公式(3)中:T表示PCB的厚度,d表示以cm為單位的通孔直徑。
公式(4)是如何計算通孔引起的寄生電容值的公式。

公式(4)中:εr表示PCB材料的相對磁導率,T表示PCB的厚度,D1表示環繞通孔的焊盤直徑,D2表示接地平面中隔離孔的直徑,所有尺寸均以cm為單位。
在一塊0.157cm厚的PCB上一個通孔就可以增加1.2nH的寄生電感和0.5pF的寄生電容。這就是為什么在給PCB布線時一定要時刻保持戒備的原因,要將寄生效應的影響降至最小。
PCB設計如何影響電源EMC性能?
5G時代,與CEF共迎PCB發展良機





