【導讀】在之前的交流跨阻放大器的討論提供了對電路噪聲增益和穩定性的理解。在第 4 部分中,我們將深入探討噪聲增益傳遞函數的推導。
在之前的交流跨阻放大器的討論提供了對電路噪聲增益和穩定性的理解。在第 4 部分中,我們將深入探討噪聲增益傳遞函數的推導。
TIA 的噪聲增益
讓我們首先添加一個放大器噪聲源V。n,到跨阻放大器的整體情況??缱璺糯笃麟娐穲D(圖1)中顯示的元件為我們提供了關鍵頻率分量的評估。對于穩定性分析,輸入信號源為噪聲電壓,Vn.放大器噪聲源的型號(Vn) 放置在放大器輸入端。

圖1.跨阻放大器的完整電路圖包括寄生電容、電阻和放大器噪聲源(Vn)。
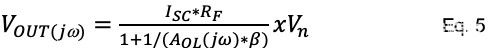
將一切整合在一起
評估任何放大器電路中的噪聲增益響應都應包括查看放大器同相輸入到放大器輸出引腳的信號增益。完整跨阻電路的噪聲增益傳遞函數為:

哪里:
一個老(JW) 是放大器在整個頻率范圍內的開環增益。
β是等于 1/(1 + Z 的系統反饋因子在 / ZF)。
確定 1/β傳遞函數
如果假設放大器的開環增益A老(jw)為無窮大,圖1所示放大器的噪聲增益傳遞函數等于公式1:

其中 (s) à (jw)
ZFB(JW) 是復數反饋阻抗
Z在(JW) 是復數輸入阻抗
這種簡化使 1/β 一級傳遞函數計算,其中:

反饋元件與Z組合非常方便FB(s) 并且輸入元素與 Z 組合在讓我們把它組合成一個形式,我們可以識別TIA電路中的極點和零點。
為了將該噪聲增益方程(公式1)簡化為極點和零點格式,我們的傳遞函數現在已準備好波特圖,具有一個極點和一個零點(公式4)。

波特 TIA 噪聲圖
確定穩定性的一個很好的工具是波特圖。在這一點上,讓我們討論一些基本的模擬設計指南。課堂教師會告訴您,穩定的相位裕量大于 0°。不對。在現場,您最好以 45° 或更高的相位裕量進行設計。如果將階躍信號驅動到PCB上的電路中,正相位裕量接近0°,則電路將振蕩失控。這種不穩定性來自PCB布局中意外的元件寄生效應或未表征的電容。以45°相位裕量進入模擬電路的相同階躍信號將在輸入階躍信號上方產生約30%的過沖。您還將產生一個最終會穩定下來的阻尼信號。
此設計的適當波特圖包括放大器的開環增益和1/β曲線。決定噪聲增益(1/β)頻率響應的系統元件是光電二極管寄生效應和運算放大器的輸入電容(Z在)以及放大器反饋回路中的元件(RF, C射頻和 CF) (圖2)。

圖2.閉環增益(1/β)和放大器開環增益(A老) 為 20dB/十倍頻程。
圖2中需要注意重要的1/β曲線增益值和頻率。1/β曲線 DC 值等于 1 + RF, 1D.在這個比率中,RF是TIA的反饋電阻,通常在10kW至10MW的范圍內。
On the other hand, RD是光電二極管寄生電阻。該寄生電阻代表零偏置p-n光電二極管結。光電二極管的材料(及其光學范圍)是硅(190nm - 1100nm),鍺(400nm -1700nm),砷化銦鎵(800nm - 2600nm),硫化鉛(《1000nm - 3500nm)或碲化鎘汞(400nm - 14000nm)。光電二極管的寄生分流電阻范圍從幾十到幾千兆歐。
將這兩個電阻放在一起,RF/RD,通常等于接近零,使 TIA 直流增益等于 1V/V。
第二個重要的1/β增益是當曲線在較高頻率下再次變得平坦時。該區域的增益等于 (1 + (C帕金森 +C放大器)/(CF + C射頻))。請注意,高頻增益具有分子中輸入電容的總和和分母中輸出電容的總和。
第三個重要的1/β增益曲線的特性是頻率轉折點fZ和 fP.轉角頻率的以下公式 (fZ,公式6)和極點(fP,等式7)為:

圖 2 圖中最后一個有趣的部分是 1/β 曲線與 A 相交的地方老(JW) 曲線。兩條曲線之間的閉合速率通常表示TIA電路的相位裕量值。
如果兩條曲線之間的閉合速率為20dB,則TIA電路是穩定的,這意味著相位裕量大于45°。如果 1/β 曲線在極點頻率處與 AOL 曲線相交 (fP),電路相位裕量為45°。如果閉合速率大于20dB,則電路不穩定。這將產生小于 45° 的相位裕量。獲得一般相位裕量后,您可以估計電路是否穩定。
有三種方法可以糾正電路的不穩定性:1)增加反饋電容,CF價值;2)改變放大器具有更高的單位增益帶寬;3)使用具有不同輸入電容的不同光電探測器。
但是,讓我們切入上面討論的簡單解決方案。等式 8 顯示了一個保守計算,該計算模擬巴特沃思響應,其 65o相位裕量和 5% 階躍響應過沖。
CF= 2* p ((C帕金森 + C放大 器) /(2 p RF f英鎊)) - C射頻等式 8
其中 f英鎊是單位增益穩定放大器的增益帶寬乘積
公式8不僅可以改變放大器帶寬/輸入電容,還可以改變反饋電阻值。
結論
我們展示了一種完成TIA設計的方法,并展示了一種選擇TIA反饋電容(CF)。正如您從公式 8 中猜測的那樣,有兩個變量需要進一步定義 àRF, f英鎊。加入我們的第 5 部分,我們將熟悉光電二極管,了解您的應用如何幫助定義光電二極管輸出范圍,從而確定反饋電阻的值和放大器選擇。
免責聲明:本文為轉載文章,轉載此文目的在于傳遞更多信息,版權歸原作者所有。本文所用視頻、圖片、文字如涉及作品版權問題,請聯系小編進行處理。
推薦閱讀:




