【導讀】前面關于運放構成的電壓跟隨器中運放正負端之間跨接電阻作用的分析,有了基礎的分析《運放正負端之間跨接電阻作用的分析(上)》,這里講繼續為大家分析作用,這里將結合仿真結果來詳細分析運放正負端之間跨接電阻作用。
仿真結果
圖1(R6=1歐姆)

圖2(R6=1歐姆)

從仿真結果來看R6的加入使得系統函數的極點少了兩個,改善了系統的穩定性,在加入R6之前,系統的相位裕量為107度,幅度裕量為9dB,最大相移270度。而加入R6之后,相位裕量大于137度,而且最大相移降低到90度,這說明穩定性有了很大的改善。R6的加入實際上使得系統的3dB帶寬降低了,由原來的5.8MHz降為3.4MHz。但在高頻段在加入R6之前,幅度按60dB/10倍頻程衰減,加入R6后,幅度按20dB/10倍頻程衰減。在7.5MHz左右兩個幅頻曲線相交,此時幅頻響應為-7.8dB。在交點右邊,加入R6后電路的幅頻響應曲線大于不加入R6的電路。
圖3(R6=1歐姆)

圖3表明,加入R6后,群時延從62.5nS降低到22.6nS。
[page]
仿真結果表明,加入R6后,電路穩定性得到提升,群時延減小,但3dB帶寬降低了,當頻率超過7.5MHz后加入R6后的電路幅頻響應大于不加R6的電路。
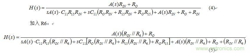
為什么加入R6會使系統的極點由3個變為1個呢,對此不解,因此將增益A用A(s)代替,將系統函數寫為:不加入R6:

從系統函數來看仍然不能得到結果,因為不知道A(s),Rin,Ro的值,無法得到R6的加入為什么能將原來的極點數減少兩個。
于是仿真了更寬的頻帶(如圖4),發現在不加R6的情況下,系統在1THz附近還有兩個零點,結合式(4)和式(5),可得出A(s)為二階,不加R6時,系統傳遞函數為 (4) 式,有三個極點,兩個零點,并且三個極點均分布在6.2MHz左右,而兩個零點位于1THz附近,和低頻段的極點相距甚遠,所以在1THz以下,系統表現出3個極點的特性。加入R6后系統傳遞函數為(5)式,仍然有三個極點,兩個零點,但三個極點和兩個零點的位置均在3.5MHz左右,所以從幅頻特性曲線上看,只看到一個極點的影響。R6的作用是將位于高頻段的零點搬到低頻段,使系統表現為只有一個極點,提升了系統的穩定性,減小了群時延,降低了在高頻段的衰減量,但同時也降低了3dB帶寬。
令R6=150k,仿真得到圖5,R6將兩個零點從1THz附近搬移一1GHz附近,映證了前面的分析。加入R6后,在1GHz以下,系統表現為三個極點的特性,在1GHz以上由于兩個零點開始發揮作用,表現為1個極點的特性。
圖4(R6=1歐姆)

圖5(R6=150k)




