【導讀】本文所述中頻感應加熱電源采用交—直—交的變頻原理,三相50Hz的正弦交流輸入電壓經過整流濾波為540V平滑直流電壓,再經逆變器將直流電壓變成不同頻率的交流電壓供負載使用。本文采用半橋串聯諧振逆變結構,與全橋串聯諧振相比,簡單可靠。
1 橋感應加熱主電路拓撲結構及控制原理
1.1 主電路拓撲
本文所述中頻感應加熱電源采用交—直—交的變頻原理,三相50Hz的正弦交流輸入電壓經過整流濾波為540V平滑直流電壓,再經逆變器將直流電壓變成不同頻率的交流電壓供負載使用。本文采用半橋串聯諧振逆變結構,與全橋串聯諧振相比,簡單可靠。
半橋感應加熱電源為串聯諧振型逆變電源,其主電路結構如圖1所示。輸入采用三相AC/DC不可控整流,輸出采用半橋逆變電路,負載回路采用LC串聯諧振電路。
圖1中,C1、C2是高頻無感電容,R1、R2是均壓電阻,保證C1、C2兩端電壓相等。當功率管VT1導通時,VT1、L、R、C2與直流母線構成回路,L與C2發生串聯諧振,電流方向如圖所示;當功率管VT2導通時亦然,電流方向相反。通過控制電路輸出交替的驅動波形,驅動功率管VT1、VT2交替導通,在LC串聯負載兩端產生交流電壓,負載中流過交變電流,線圈L中鐵質工件在交變電流感應的交變磁場內產生渦流而發熱。
1.2控制原理
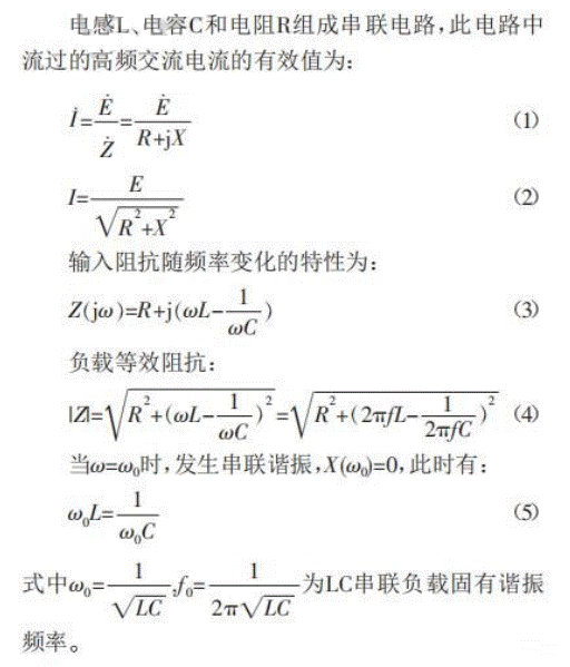
調頻調功(PFM)是通過改變開關頻率倆改變負載功率的控制方式,在LCR串聯諧振中,在負載等效參數R、L和C一定的情況下,串聯諧振的等效電路如圖2所示。
由式(4)可知,負載的等效阻抗隨著負載電流的頻率f變化,其變化曲線如圖3所示。當負載電壓一定時,負載的電流頻率越偏離負載諧振頻率f0,等效阻抗越大,輸出的功率越小。當f=f0時,負載等效阻抗,即|Z|=R,此時負載的功率;f》f0時,負載等效阻抗呈感性,且頻率越大感抗越大,輸出功率越小;f《f0時,負載等效阻抗呈容性,且頻率越小容抗越大,輸出功率越小。串聯諧振負載功率分布特性曲線如圖4所示
圖4說明通過改變負載電流頻率即可改變串聯諧振負載回路輸出功率。發生串聯諧振時,負載輸出功率,為了避免工作點滑向容性諧振狀態,導致開關器件換流開通時造成較大的尖峰電流以及續流二極管反向恢復引起的橋臂直通,控制逆變器開關工作頻率略大于負載固有諧振頻率f0,以保證加熱電源LRC負載回路工作在弱感性諧振狀態。
(來源:中電網)
免責聲明:本文為轉載文章,轉載此文目的在于傳遞更多信息,版權歸原作者所有。本文所用視頻、圖片、文字如涉及作品版權問題,請聯系小編進行處理。
推薦閱讀:



