【導讀】本文主要闡述了利用PCB設計來解決電源模塊的散熱問題的具體方法策略。具體步驟就是通過通孔布置最大化雙向電源模塊散熱性能來布局PCB。電源模塊則嚴格配置成單路40A雙相輸出和兩路20A單相輸出。通過通孔形式的電路板設計來為電源模塊散熱。
電源系統設計工程師總想在更小電路板面積上實現更高的功率密度,對需要支持來自耗電量越來越高的FPGA、ASIC和微處理器等大電流負載的數據中心服務器和LTE基站來說尤其如此。為達到更高的輸出電流,多相系統的使用越來越多。為在更小電路板面積上達到更高的電流水平,系統設計工程師開始棄用分立電源解決方案而選擇電源模塊。這是因為電源模塊為降低電源設計復雜性和解決與DC/DC轉換器有關的印刷電路板(PCB)布局問題提供了一種受歡迎的選擇。

圖1:包括兩個20A輸出的ISL8240M電路
那么該電源模塊如何才能實現如此高的功率密度?圖1電路圖中顯示的電源模塊提供僅有8.5°C/W的極低熱阻θ,這是因為其襯底使用了銅材料。為給電源模塊散熱,電源模塊安裝在具有直接安裝特性的高效導熱電路板上。該多層電路板有一個頂層走線層(電源模板安裝于其上)和利用通孔連接至頂層的兩個內埋銅平面。該結構有非常高的導熱系數(低熱阻),使電源模塊的散熱很容易。
為理解這一現象,我們來分析一下ISL8240MEVAL4Z評估板的實現(圖2)。這是一個在四層電路板上支持雙路20A輸出的電源模塊評估板。

圖2:ISL8240MEVAL4Z電源模塊評估板
該電路板有四個PCB層,標稱厚度為0.062英寸(±10%),并且采用層疊排列,如圖3所示

圖3:ISL8240M電源模塊使用的四層0.062“電路板的層疊排列
[page] 該PCB主要由FR4電路板材料和銅組成,另有少量焊料、鎳和金。

表1列出了主要材料的導熱系數。
SAC305*是最流行的無鉛焊料,由96.5%錫、3.0%銀和0.5%銅組成。W=瓦特,in=英寸,C=攝氏度,m=米,K=開氏度
為確定圖3中電路板頂部銅層的熱阻,我們取銅層的厚度(t)并除以導熱系數與截面積之積。為計算方便,我們使用1平方英寸作為截面積,這時A=B=1英寸。銅層的厚度為2.8密耳(0.0028英寸)。這是2盎司銅沉積在1平方英寸電路板區域的厚度。系數k是銅的W/(in-°C)系數,其值等于9.因此,對于這1平方英寸2.8密耳銅的熱流,熱阻為0.0028/9=0.0003°C/W.我們可使用圖3顯示的每層尺寸和表1中的相應k系數,來計算每層1平方英寸電路板區域的熱阻。結果如圖4所示。

圖4:1平方英寸電路板層的熱阻
從這些數字,我們可知33.4密耳(t5)層的熱阻是最高的。圖4中的所有數字顯示了從頂層至底層的這四層1平方英寸電路板的總熱阻。如果我們添加一個從電路板頂層至底層的通孔連接會怎樣?我們來分析添加該通孔連接的情況。
電路板使用的通孔的成孔尺寸約為12密耳(0.012英寸)。制造該通孔時先鉆一個直徑為0.014英寸的孔,然后鍍銅,這會在孔內側增加約1密耳(0.001英寸)厚的銅壁。該電路板還使用了ENIG電鍍工藝。這在銅外表面上增加約200微英寸鎳和約5微英寸金。我們在計算中忽略這些材料,只使用銅來確定通孔的熱阻

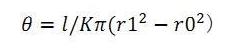
式2是計算圓柱形管熱阻的公式。
式2:計算圓柱形管熱阻
變量l是圓柱形管的長度,k是導熱系數,r1是較大半徑,r0是較小半徑。
對12密耳(直徑)成孔使用該式,我們有r0=6密耳(0.006英寸)、r1=7密耳(0.007英寸)和K=9(鍍銅)。

圖5:12密耳通孔的表面尺寸
變量l是通孔的長度(從頂面銅層到底面銅層)。電路板上焊接電源模塊的地方沒有阻焊層,但對其他區域,PCB設計工程師可能要求在每個通孔的頂部放置阻焊層,否則通孔上面的區域會空缺。由于通孔只連接外銅層,所以其長度為63.4密耳(0.0634英寸)。總通孔長度本身的熱阻是167°C/W,如式3所示。

[page]
圖6列出了連接電路板各層的每段通孔的熱阻。

圖6:連接電路板各層的通孔段的熱阻
請注意,這些值只是一個通孔本身的熱阻,并未考慮穿過電路板的每一段與圍繞它的材料是橫向連接的。
如果我們分析圖4中各個電路板層的熱阻值,并將它們與一個通孔的熱阻值進行比較,似乎該通孔的熱阻比每層的熱阻高很多,但是請注意,一個通孔只占1平方英寸電路板區域的1/5000不到。如果我們決定比較更小的電路板區域,比如0.25英寸x0.25英寸(這是前面電路板區域的1/16),則圖4中的每個熱阻值將增加到原來的16倍。例如,t4和33.4密耳厚FR4層的熱阻會從5.21875°C/W增加至83.5°C/W.僅對該0.25英寸x0.25英寸區域添加一個通孔就會使穿過該33.4密耳FR4層的熱阻減少近一半(83.5°C/W和90.91°C/W)。0.25英寸x0.25英寸方塊的面積是一個通孔的面積的約400倍。那么如果在該區域布置16個通孔會怎樣?與一個通孔相比,所有平行通孔的有效熱阻將減小16倍。圖7比較了各個0.25英寸x0.25英寸電路板層與16個通孔的熱阻。0.25英寸x0.25英寸電路板的33.4密耳厚FR4層的熱阻為83.5°C/W.16個平行通孔具有5.6821°C/W的等效熱阻。
這16個通孔只占0.25英寸x0.25英寸電路板區域面積的不到1/25,但可顯著減小從頂面到低層的熱阻連接。

圖7:熱阻值比較
請注意,當熱向下流過通孔并達到另一層時,特別是另一個銅層時,其將橫向擴散到該材料層。添加越來越多通孔最終會降低效果,因為從一個通孔橫向擴散到附近材料的熱最終會與來自另一個方向(源自從另一通孔)的熱相遇。ISL8240MEVAL4Z評估板的尺寸是3英寸x4英寸。電路板上的頂層和底層有2盎司銅,還有兩個內層各包含2盎司銅。為使這些銅層發揮作用,電路板有917個12密耳直徑的通孔,它們全都有助于將熱從電源模塊擴散到下面的銅層。
結語
為適應電壓軌數目的增多和更高性能的微處理器和FPGA,諸如ISL8240M電源模塊等先進的電源管理解決方案,通過提供更大功率密度和更小功耗來幫助提高效率。通孔在電源模塊電路板設計中的最優實現,已成為實現更高功率密度的一個越來越重要的因素。
相關閱讀:
優化PADS系列產品的復雜設計,且看IC封裝和PCB設計怎么表現
減少引腳數量還能改進PCB設計的“秘密”——裸露焊盤
高速信號走線規則九大件!輕松搞定PCB設計的EMI





