【導讀】在工程機械電氣系統設計中不可避免地存在一些感性負載,如啟動線圈、繼電器、電磁閥、電喇叭和空調離合器等。當斷開或接通這些感性負載的電源時,都將在電感線圈兩端產生高于電源電壓幾倍乃至幾十倍的反向瞬時電動勢,這種因電磁感應而產生的脈沖電壓不僅能使控制器件的觸點間產生電擊穿,出現飛弧放電現象,而且能使其他電子儀表或元件性能惡化甚至損壞,大大降低其壽命和可靠性。
1 脈沖電壓的形成
一般感性負載可等價如圖1所示。

IR電路在電源開關閉合瞬間,電壓及電流都隨時間而變化,稱為過渡過程。之所以出現這種現象,是由于當線圈中電流變化時,線圈本身就產生自感電動勢來阻礙電流的這種變化。由于這種阻礙作用,經過一定時間以后電壓及電流才能達到穩定狀態,電流達到穩定狀態的63%所需時間稱為時間常數T,可由下式表示。
L愈大,R愈小,時間常數就愈大,與電源電壓的大小無關。
由于線圈的自感而產生的反向電動勢的幅值可由式(2)計算。
式中:
L——線圈中的電感;
當控制開關切斷電路時,瞬時脈沖電壓
將產生電弧,電弧是由于氣體中有大量的帶電粒子作定向運動而產生的。觸點在分離的瞬間其間隙很小,電路電壓幾乎全部降落在觸點之間,在觸點間形成很強的電場從而產生撞擊電離、熱電子發射和熱電離現象導致飛弧。飛弧的產生將加快觸點表面的氧化,嚴重的將燒蝕觸點而發生故障。隨著機電一體化技術的發展,越來越多的集成電路用于工程機械,瞬時脈沖也將對這些低電平敏感電路產生很強的干擾,使控制誤差加大乃至控制失常。
2 抑制措施
常規設計中所選用的繼電器、電磁閥、電喇叭等感性負載部分沒有瞬時反電勢的抑制措施,這常導致電氣部分故障率升高,因此很有必要采取反電動勢的抑制措施。從簡單實用的角度出發,常用的抑制網絡如下:
(1)D網絡

如圖2,該網絡常裝在線圈兩端,在開關斷開瞬間電感線圈兩端的反電勢被續流二極管鉗位于1V以下,故該網絡對反電勢的抑制效果較好。但由于電能損耗少,電磁機構的動作頻率降低很多。續流二極管的選取一般為:耐壓值≥電源電壓,額定電流≥負載電流。
(2)R-D網絡

如圖3,在D網絡的基礎上再串聯電阻R,可對動作靈敏度和反電動勢的抑制統籌兼顧,只要R、D選擇適當,應用效果較好。R-D網絡通常置于線圈兩端,如圖3。D參數選擇可令R=0時用D網絡選擇法。R參數選擇分為兩步:第一步確定阻值,先用較大的可變電阻器串入,從幾十千歐逐步減小,直到電磁機構動作速度滿足要求,同時又無干擾出現,即可確定其阻值。第二步確定R的功率,由式(3)計算:
式中:
f——電磁機構動作頻率;
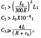
(3)R-C網絡

如圖4,在網絡中串聯電容C。網絡中電阻值的選擇可按式(4):
電阻的功率:
網絡中C值的選擇如下:
式中:

式中:
E——電源電壓;
R——網絡中的電阻;
f——電磁機構的動作頻率。
實踐表明,一般情況下上述三種網絡就近加于線圈兩端即可有效抑制瞬時反電動勢對電氣系統的破壞,提高整個系統的可靠性。對要求較高的場合,可在觸點上另加保護網絡。
推薦閱讀:




