- 互調測量及其產生原因
- 測量數據與計算數據的對比
- 新型的互調測試方法
在微波網絡中,同軸連接器是引起互調的主要來源。同軸連接器的非線性特性是引起互調的主要原因。準確確定同軸連接器的無源互調對整個射頻系統設計有重大的意義。目前大多數的連接器生產廠家采用的測試方法都是一起測試兩個同軸連接器,具體辦法是根據需要測試的連接器制作一個圓桶狀工裝,然后將待測量的連接器的內導體鋸短使之與外面的介質相齊平,將兩個連接器的內導體互相連接安裝在工裝里,一端接互調儀,另一端接低互調負載,測量兩個連接器級聯的互調值。這種測試方法有三個缺點:
(1)對不同的連接器要制作不同的工裝,程序比較麻煩,耗時長;
基于傳統的測試方法的種種缺點,本文提出一種新的連接器的互調測試方法——開路測試法。這種測試方法是讓連接器的一端開路,另一端接互調儀。這種方法可以在不破壞同軸連接器的基礎上確定同軸連接器的無源互調值。
本文首先建立一個連接器的測試模型,然后根據這個模型,利用矢量網絡分析儀分別測量連接器模型在開路和接負載兩種情況下的負載反射系數和源反射系數在不同頻率的值。利用這些數據就可以計算出微波無源網絡中同軸連接器在網絡中開路和接負載兩種情況下的互調。最后,用互調分析儀測量連接器的互調值驗證了這種方法的有效性。
1 互調測量及產生原因
本文中所有PIM的測量都是采用Jonitcom公司的PIM分析儀,外型如圖1所示。其簡化的測量系統圖如圖2所示。


該系統中兩個大功率載頻f1和f2通過雙工濾波器發射到DUT,終端接50 Ω負載。PIM產生的雜散信號在DUT中產生,并在兩個方向傳播——“前向”到匹配負載,“反向”到雙工濾波器。發射激勵信號的頻率和被測的IM產物的頻 率由雙工濾波器的TX和RX通道決定。接收機測量反向傳播的IM波功率。
PIM測試分為兩種,一種是傳輸測試法,如圖3所示,另一種是反射測試法,如圖4 所示。本文采用反射法測量,發射功率均為43 dBm。當載頻為f1和f2,測量的IM產物的頻率為
研究發現連接器中的非線性失真產生于沿著連接器的方向上的某一個特殊點(很象適配器上的金屬和金屬的連接接點)。在這個基礎上,對被測器件分析。[page]


DUT非線性產生的IM形成兩個電壓波:![]()
為前向傳播IM電壓波,產生于DUT的前向端面。
源Vfront和Vback表示出現在DUT端面的測量系統的殘余IM以及負載的電長度lload和負載阻抗Zload。不同的電長度 lback,lDUT,lfront也對應著不同的反射系數,為了便于分析,引入圖6的模型。源反射系數,負載反射系數包含的信息不但表明了被測器件的各種電長度,還表明了在不同負載下的匹配狀態。[page]
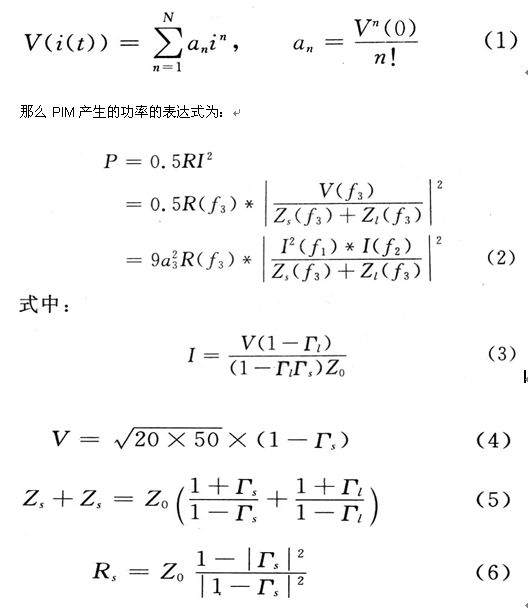
通過上面的討論,所有IM源的電壓在相位上疊加,在點源上形成的V(i(f))可以用N級泰勒級數近似表示:
2 測量數據與計算數據的對比
為了驗證該方法的有效性,本文給出了兩個頻段的PIM值的計算與測量結果對比。頻段l:800 MHz的通信系統的發射頻段為869~894 MHz,接收頻段為824~849 MHz。如圖7所示。




