- 大功率LED散熱的理論模型
- 分析各種因素對于散熱能力的影響
- 熱輻射系數對LED散熱的影響
- 熱導率對LED的散熱的影響
- 增加散熱面積對LED散熱的影響
- 對流方式對LED散熱的影響
目前,很多功率型LED的驅動電流達到70mA、100mA甚至1A,這將會引起芯片內部熱量聚集,導致發光波長漂移、出光效率下降、熒光粉加速老化以及使用壽命縮短等一系列問題。業內已經對大功率LED的散熱問題作出了很多的努力:通過對芯片外延結構優化設計,使用表面粗化技術等提高芯片內外量子效率,減少無輻射復合產生的晶格振蕩,從根本上減少散熱組件負荷;通過優化封裝結構、材料,選擇以鋁基為主的金屬芯印刷電路板(MCPCB),使用陶瓷、復合金屬基板等方法,加快熱量從外延層向散熱基板散發。多數廠家還建議在高性能要求場合中使用散熱片,依靠強對流散熱等方法促進大功率LED散熱。
盡管如此,單個LED產品目前也僅處于1~10W級的水平,散熱能力仍亟待提高。相當多的研究將精力集中于尋找高熱導率熱沉與封裝材料,然而當LED功率達到lOW以上時,這種關注遇到了相當大的阻力。即使施加了風冷強對流方式,犧牲了成本優勢,也未能獲得令人滿意的變化。
討論在現有結構、LED封裝及熱沉材料熱導率等因素變化對于其最大功率的影響,尋找影響LED散熱的關鍵因素。研究方法為有限元熱分析法.該方法已有實驗驗證了LED有限元模型與其真實器件之間的差別,證明其在誤差許可范圍內是準確可行的。
建立模型
1有限元熱分析理論
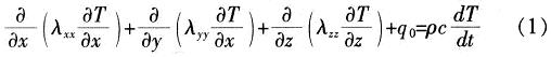
三維直角坐標系中的瞬態溫度場場變量T(x,y,z,t)滿足:

式中:T/x,T/y,T/z為沿x,y,z方向的溫度梯度;λxx,λyy,λzz為熱導率;q0為單位體積的熱生成;ρc是密度與比熱容的乘積:dT/dt為溫度隨時間的變化率。
式中:Vx,Vy,Vz為媒介傳導速率。
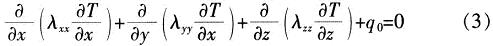
對于穩態熱分析而言,T/t=0,式(1)可化簡為:
根據式(3)、邊界條件與初始條件,利用迭代法或者消去法求解,得出熱分析結果。
2幾何模型的建立
圖1為依據常見1w大功率LED尺寸建立并簡化、海鷗翼封裝鋁熱沉的大功率LED圖形,底座接在MCPCB鋁基板上。主要數據:芯片尺寸為1mm×1mm×O.25mm,透鏡為直徑是13mm的半球。硅襯底為邊長17mm,高0.25mm的正六棱柱,MCPCB為直徑20mm,高1.75mm的六角星形鋁質基板。

3有限元模型的建立
模型采用ANSYSl0.0計算,為方便分析,假設模型:
LED輸入功率為1W,光效率取10%;封裝體外部的各組件(包括MCPCB、陶瓷封裝、熱沉的外部)通過與空氣的對流散熱;器件與外界的熱對流系數為20。工作環境溫度為25℃;器件滿足使用ANSYS軟件進行穩態有限元熱分析的條件;最大結溫選擇為125℃。各種材料的參數如表1所示。
[page]分析各種因素對于散熱能力的影響
1熱輻射系數對LED散熱的影響
圖2為表面黑度為0.8時的溫度云圖。根據斯蒂芬-玻耳茲曼定律,輻照度j*與溫度T之間的關系:j*=εσT4。其中ε為黑體的輻射系數;σ=5.67×10-8w/(m2•k4),稱為斯蒂芬-玻耳茲曼常數。因此可知,溫度越高,輻照度越大。當輸入功率為1W時,經由表面輻射散出的熱能為7.63×10-4W,僅占總熱功率的1.63‰;功率達到2W時,經輻射散出的熱能也僅占6.33‰。因此改變熱輻射系數對于提高散熱能力改善成效不大,散熱的關鍵在于提高另外兩種散熱方式:熱傳遞和熱對流。盡管如此,仍有一些廠家將LED器件的外表面涂成黑色,以期最大限度地利用輻射散熱。

2熱導率對LED的散熱的影響
只考慮熱傳導與對流,改變不同封裝填充材料如硅樹脂.得出結果,如圖3所示。即使找到一種熱導率高達7Wm-1K-1的環氧樹脂成分封裝材料時,相比使用熱導率為0.25Wm-1K-1的環氧樹脂成分封裝材料時,芯片溫度下降不多,鋁基板溫度只下降了2.271℃,最大功率僅提高了0.69W。實際上,熱導率值超過7Wm-1K-1以上、可商業化的透明硅樹脂封裝材料目前尚無文獻報導。分布云圖如圖4所示。

表2給出透鏡熱導率為0.2Wm-1K-1時,不同熱沉材料的導熱系數對于LED最大功率影響。由表2看出,熱沉材料對于LED的最大散熱能力的影響很小。[page]

綜上所述,熱導率變化對LED最大功率影響微弱。
3增加散熱面積對LED散熱的影響
表3為3種不同散熱方式對LED的溫度分布、最大功率的影響??梢钥闯?,增加散熱面積是很好的散熱方式,可以輕易地提高LED器件散熱能力,這是目前LED產品所普遍使用的散熱方式之一。然而缺點也很明顯:影響成本、增加產品重量、影響封裝密度。無限度地提高LED散熱片面積顯然不現實,因此一般使用1.5inch2散熱片提升LED產品最大功率至10W左右,出于成本等因素就不能繼續提高。

4對流方式對LED散熱的影響
常見對流散熱方式有兩種:自然對流和強制對流。固定結構的散熱與表面傳熱系數有關??绽浞绞綍r,不同傳熱系數對最大功率的影響如圖5所示。強對流方式在一定速度內會大大提高LED產品的散熱能力,有助于提高散熱效果。

綜上所述,無論是增加散熱面積還是增加對流速度都不能無限制地提高散熱能力,其原因在于:當散熱結構、方式固定后,即使LED導熱率有所上升,也無法真正大幅度降低芯片溫度;事實證明增加散熱面積,可以促進散熱。但由于成本限制,且不可能無限制地增加散熱面積,因此,要提升LED產品的散熱能力,關鍵要在最大努力增加散熱面積時,尋找一種可以快速將上表面熱量帶走的散熱方式。
利用ANSYS軟件對大功率LED進行三維有限元熱分析,并繪制了其受不同因素影響時器件的溫度云圖,通過比較各種因素對散熱性能的影響,得出結論:在經過必要的選材優化后,對于材料熱導率的追求只是對提高LED散熱能力細枝末節地修改,想要大幅度地提高LED的散熱能力,關鍵是增加散熱面積與改變散熱方式。



