- 基于PWM技術蓄電池充放電與檢測系統設計
- 探究PWM技術蓄電池能源的再利用的途徑
- 基于PWM整流的雙向蓄電池充放電裝置解決電能浪費
- 用SPWM調制方式可使網側電流正弦化
引言
電力機車用蓄電池承擔著機車升弓前為輔助系統供電的任務,蓄電池的質量顯得至關重要。目前電力機車用蓄電池充放電裝置大多使用傳統的相控整流充電技術,雖然技術成熟、價格低廉,但調節周期長、動態響應慢、功率因數低,諧波污染也比較大,易造成對電網的污染。為保證質量,電力機車用蓄電池在出廠前需要進行老化試驗。目前的出廠測試老化試驗大多使用水泥電阻等能耗型負載充當被試電源產品的負載。能耗型負載雖然成本低廉,但能量被白白消耗掉,會造成電能的大量浪費。
本文研究了一種基于PWM逆變整流的新型蓄電池充放電裝置,能耗低,功率因數大,能實現恒流或恒壓充放電以及實現負載大小靈活調節,并能將試驗過程中的能量反饋回電網,實現了能源的再利用。
1 蓄電池恒流/恒壓充放電裝置原理
本文蓄電池充放電裝置采用以電壓型脈沖整流器為核心的方案。PWM控制方式能方便地實現能量的雙向流動,根據電網的不同,可以采用單相或三相PWM脈沖整流器。系統原理如圖1所示。

由圖1可知,老化實驗過程中蓄電池直流電源的輸出能量,除少部分維持系統自身工作產生所需要的能量之外,絕大多數都被反饋回了電網,因此能夠大幅度降低試驗過程中的能量消耗,達到節約電能的目的。
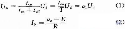
在對機車蓄電池充電時,為了快速充電同時延長電池的使用壽命,將充電與放電過程分成不同的階段,可以視具體情況分階段選擇恒流或者恒壓模式充放電。恒壓充放電模式采用電壓定向控制模式,控制框圖如圖2所示。控制策略采用雙閉環結構,外環控制直流電壓,內環控制電流。電流內環作用是提高系統的動態性能和實現限流保護,電壓外環的作用是保證直流側電壓的穩定性。直流輸出電壓給定信號和實際直流電壓Vdc比較后的誤差信號送入P1調節器,PI調節器的輸出即為主電路交流輸入參考電流的幅值,比較得到電流誤差后,對電流誤差進行PI調節,用以減緩電流在動態過程中的突變。然后再與輸入電壓的空間矢量進行比較控制,最后通過SPWM調制算法即可生成相應6路驅動脈沖控制三相整流橋IGBT的通斷,間接地控制網側電流,實現網側功率因素的調節。

2 功率調控環節的設計與分析
2.1 升降壓斬波電路的設計
DC/DC變換器是整個系統中的能量調控環節,電路如圖3所示。T1~T4為IGBT,C為中間支撐電容。

為了使能量能夠雙向流動,功率調控環節采用Boost/Buck雙向變換器拓撲結構。充電時,相當于Buck降壓斬波變換器,T1,T3導通,能量從Ud傳到Uo;T2,T4充電過程中始終截止,但其內部反并聯的二極管VD2與VD4導通。其輸出電壓與充電電流為:

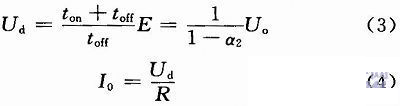
放電時,相當于Boost升壓斬波變換器,T1,T3截止,T2,T4工作,與VD1,VD3構成升壓斬波電路,能量從Uo傳到Ud,二者的關系為:

圖3所示的DC/DC變換器不但能對直流輸入電壓進行變換處理,而且還可以對直流輸入電流進行調節和控制,在DC/DC階段實現能量調控。
2.2 功率調控電路與充放電切換分析
充電與放電功率調控原理如圖4所示。

放電時,S2閉合,邏輯控制電路輸出UL1為低電平,UL2為高電平,與門D2輸出驅動脈沖,當uc增加,占空比a2增加,Uo增加,由式(4)可知,放電電流Io增加,放電功率增大,從而實現由占空比控制放電功率的目的。
在充電切換到放電過程中,當S1斷開,S2閉合時,為防止T1,T4均導通,使電源E經T2,T4而直通短路,在D1與D2的輸出脈沖之間必須設置一定的死區時間,封鎖D1且延時一定時間后,再開放D2的輸出脈沖。
[page]
3 PWM整流器的設計與分析
3.1 PWM整流與逆變的數學模型
蓄電池充放電裝置DC/AC部分采用三相PWM整流器,如圖2所示。三相PWM整流器的作用是將DC/DC變換器輸出的穩定直流電壓逆變為三相交流電壓,通過調節PWM整流器三相輸出電壓的大小以及控制與電網電壓之間的相位差,PWM整流器不但可以將DC/DC變換器送過來的能量饋入三相交流電網,而且還可以有效調控蓄電池充放電裝置交流側的功率因數。
本文采用SPWM調制方式。圖2中,三相調制信號uru、urv和urw為相位依次相差120°的正弦波。a,b,c相自關斷開關器件的控制方法相同,現以a相為例:在uru>uc的各區間,給上橋臂電力晶體管V1以導通驅動信號,而給下橋臂V4以關斷信號。在uru<uc的各區間,給V1以關斷信號,V4以導通信號。圖5是三相橋式PWM逆變電路輸出三相對于負載中性點N的相電壓波形。


3.2 PWM整流與逆變的等效電路與向量分析
圖6是a相在整流運行、逆變運行時的相量圖。在SPWM調制方式下,電網電壓ua與ua產生的基波分量uao為正弦波,流過電感La的電流也為正弦波。圖6所示,從a相電路的相量圖可以很容易地看出,三相電壓源型PWM雙向變流器可以實現單位功率因數運行。

[page]
4 蓄電池充放電裝置檢測監控系統的設計
為了驗證課題所設計的蓄電池充放電裝置的功能,設計了檢測與監控系統。軟件的部分界面如圖7所示。

充放電之前,根據不同的蓄電池充放電要求,首先設定電壓范圍與電流范圍,對充放電系統進行保護,以免誤設置使輸出參數超出可控范圍。
蓄電池充放電裝置有兩種運行模式:
(1)恒流模式。恒流模式是以輸出電流作為反饋量,控制系統保持蓄電池充放電裝置輸出電流恒定;
(2)恒壓模式。恒壓模式是以輸出電壓作為反饋量,控制系統保持蓄電池充放電裝置輸出電壓恒定。
在蓄電池充電時,為了快速充電,同時延長電池的使用壽命,在一個完整的充電過程中,將整個充電過程分成不同的階段,不同的階段采用不同的運行模式和運行參數,在不同階段之間設置階段轉換條件,當蓄電池充放電裝置的運行狀態滿足階段轉換條件時,蓄電池充放電裝置可以從當前運行階段變成下一個階段運行。該蓄電池充放電裝置可以將一個充電過程劃分成1~4個運行階段,放電過程劃分為1~2個運行階段。每個階段的運行參數包括:
(1)運行模式。恒流或恒壓。
(2)給定參數。如果運行模式是恒流方式,給定參數為輸出給定電流;如果運行模式是恒壓方式,給定參數為輸出給定電壓。
(3)限制參數。對于電池負載,在恒流條件下,控制系統為滿足設定的輸出電流值,可能導致輸出電壓超過電池組的最大電壓限制。在恒壓條件下,控制系統為滿足設定的輸出電壓值,可能導致輸出電流超過電池的最大電流限制。為了解決這個問題,在蓄電池充放電裝置的控制系統中,有一個限制輸出部分。在恒流狀態下,限制輸出部分會對輸出電壓和設定的最大限制電壓進行比較,若輸出電壓小于最大限制電壓,控制系統保持輸出電流等于給定電流,若輸出電壓大于最大限制電壓,控制系統將不再保持輸出電流等于給定電流,而是保證輸出電壓小于最大限制電壓;恒壓狀態下限制參數與其類似。采用以上措施的目的,就是為了保護電池,防止電池在充電過程中受到損傷。所以在每個階段的運行參數中包括一個限制輸出值。若運行模式是恒流,限制輸出值為最大輸出電壓。若運行模式是恒壓,限制輸出值為最大輸出電流。
(4)停止參數。停止參數的含義是當蓄電池充放電裝置的實際運行狀態滿足設定的停止參數,自動轉入下一個階段運行,若當前運行的是最后一個階段,控制系統會關閉蓄電池充放電裝置。下面以恒流模式說明停止參數的含義;當運行模式是恒流,用戶可以選擇的停止條件有輸出電壓或運行時間兩種。若用戶選擇停止條件是輸出電壓,在恒流充電過程中電池電壓上達到設定的停止輸出電壓值時,系統結束本階段的運行,轉入下一階段運行;若用戶選擇的停止條件是運行時間,若本階段的運行時間等于設定的停止時間,系統結束本階段的運行,轉入下一階段運行。
把運行模式和停止條件組合起來,蓄電池充放電裝置可以有4種運行模式:恒流限壓、恒流定時、恒壓恨流、恒壓定時。同時除上述參數的設置以外,系統還可以實現循環充放電,可以選擇循環起始點和終止點,以及充放電次數。
5 結語
本文所設計的蓄電池充電裝置設計的蓄電池充放電裝置技術參數為:
蓄電池側:額定功率15 kVA,額定電壓DC110 V。其中,充電時電壓變化范圍為60~160 V,放電時電壓變化范圍為75~160 V;充電時額定電流為65 A,放電時額定電流為130 A。
交流側:三相交流(380±76)V,網側電流符合相關標準要求,功率因數高于0.95,電流畸變小于5%;
基于PWM整流的雙向蓄電池充放電裝置解決了傳統裝置的電能浪費問題,把90%的試驗能耗回饋電網,實現了能量雙向流動,采用SPWM調制方式可使網側電流正弦化,功率因數高,能夠實現充放電功率的靈活調節。放電功率的可控性簡化了操作人員的工作,同時也提高了數據的可靠性與設備的安全性。



