中心議題:
- 針對固態照明產品的光色特性規格定義
- IESNA定義固態照明量測新方法
解決方案:
- 控制測試環境溫度
- 不需暗房條件的積分球量測系統
- 與亮度計共享可量測全光通量
- 撘配光譜儀可消除V(λ)失匹配誤差
為加速LED照明商品化,北美能源之星針對LED照明產品特性,訂定迥異于傳統照明的測試規范,包含環境溫度測試、積分球量測、配光曲線等,透過LED照明產品測試方式定義的一致性,區分出LED照明裝置的優良,有利于質量升級。
美國能源之星(Energy Star)已陸續發布針對固態照明產品的檢測規范定義,文件當中包含檢測項目、檢測方法依據的規范、須檢測的樣品數量及合格判定的規格數值,另外對于可進行測試的授權實驗室也有明確說明。在能源之星對固態照明產品測試所引用的規范當中,異于傳統照明的部分,包含ANSI C78.377-2008、北美照明協會(IESNA)LM-79-08、IESNA LM-80-08三份規范(圖1),本篇文章將僅就ANSI C78.377-2008及IESNA LM-79-08的檢測細節進行說明,并針對檢測所需的儀器設備原理介紹。

圖1 能源之星對固態照明之檢測規范依據:ANSI C78.377-2008、IESNA LM-79-08、IESNA LM-80-08
固態照明燈具色溫等級較廣
此規范包含美國國家標準中針對固態照明產品的光色特性規格定義,適用于室內使用的燈具,不包括戶外燈具。其中,重點有兩部分,其一是定義相對色溫(CCT)的分級,其次是針對同一相對色溫標稱等級其允許的色溫變異范圍作定義。
規范中所述固態照明的光色規格要求,源自于熒光燈的光色分級規格,但有鑒于固態照明尚處于起步階段,未如熒光燈發展已趨于成熟,因此在定義光色要求時,采取較大的變異范圍。目前規范對固態照明燈具區分為八個色溫等級,分別為2700K、3000K、3500K、4000K、4500K、5000K、5700K及6500K(圖2)。

圖2 八個相對色溫指定值在CIE 1931之區域定義
圖2中六個橢圓區塊為ANSI C78.376定義熒光燈的色溫等級區塊,其所采取的色溫允許變異范圍為七階MacAdam橢圓范圍。對于固態照明,將允許變異范圍加大,圖2中的八個菱形區塊即為固態照明的八個色溫等級色度坐標(x,y)范圍。色溫分級有助于固態照明供貨商及使用者有共同的色溫標準語言。另外,此規范也定義演色性(Color Rendering Index, CRI),作為評估固態照明光色特性的另一指標。對于量測光色特性的方式,則對應到LM-79規范。
[page]
固態照明不適用傳統量測 IESNA定義新方法
IESNA LM79-08于2008年公布,為測試方法的標準規范,內容針對固態照明的發光效率(單位:每瓦流明數(lm/W))、光通量(單位:流明(lm))、光強度的空間分布、色度、色差、光色空間均勻性、相對色溫及演色性等進行量測方式與對應設備要求定義。
先前傳統照明多是將燈具及光源分開量測,但固態照明可能出現燈具及光源合為一體的情況,因此原先針對傳統照明定義的規范并不適用。IESNA特別制定此規范,希望藉由定義量測程序方法,將表現固態照明特性的參數,具有量測可重現性,并統一固態照明產品光電特性的量測手法,避免因量測方式不同造成爭議。
該規范適用于以發光二極管(LED)為主包含電子控制裝置及散熱機構,且使用交流或直流電源驅動的固態照明產品。此規范所涵蓋的固態照明產品是一個結合燈具與燈源的照明產品,如整合式LED燈泡,不包含須額外使用電子控制裝置或散熱機構(如LED芯片、LED組件及LED模塊)的固態照明產品,也不涵蓋供LED光源使用但不包含LED光源販賣形式的燈具。另外,此規范也不適用于確定個體間產品性能的差異。
測試環境溫度須控制
此份規范定義量測時的環境溫度為25±1℃,且量測時,溫度量測點須距離燈具1公尺內,高度須與燈具同高并避免光源的輻射熱影響。量測時固定燈具的治具,也須避免熱傳導及阻礙空氣的自然流動。此外,此規范量測的光電性能,不須將燈源或燈具進行1,000小時的點燈后才進行測試。
為確保待測燈具在測試過程中是穩定的,測試前燈具須進行熱燈動作,使溫度達到平衡,熱燈時間則依燈具而定,如整合式LED燈泡約需30分鐘就能達到平衡,大型燈具可能需1小時或更久的時間。
是否達到穩定的標準,可用光源輸出如固定點的光強度或消耗功率的表現來判定。若熱燈30分鐘,在15分鐘內至少取三個量測值,將最大值減最小值的差除以平均值,結果須小于0.5%,如此可判別燈具是否已熱機完成,實際熱燈時間須于檢測報告中注明。量測過程中燈具的擺放方式須為燈具在正常使用下的姿態。
此份規范定義兩種光通量的量測系統方法,一是使用積分球系統,另一種則為使用配光曲線儀系統。使用哪種系統須依據所要量測的量(顏色、光強度分布)及待測樣品尺寸等來決定。
積分球量測系統不需暗房條件
此方法適用于量測小尺寸固態照明燈具的全光通量及顏色特性,它的優點是快速、且不需暗房即可量測,在球內量測時空氣的擾動可降低,但對于包含散熱裝置的整合式燈具就要注意散熱導致溫度的上升。
LM-79對于積分球的選用有幾項重點:首先是積分球的尺寸應要夠大,以避免燈體發出的熱能使溫度升高,以及因文件板及待測燈體自行吸收所導致的量測誤差。另針對積分球的大小,若是量測小型燈泡(如傳統燈泡、省電型燈泡),建議球體直徑≧1公尺;量測4呎(約120公分)的熒光燈管、HID燈等較大燈型,建議球體直徑≧1.5公尺;量測500W或更大功率的燈型,則建議球體直徑≧2公尺。
規范中定義使用積分球各裝置的幾何架構如圖3所示。共有兩種,一種為4π,另一種為2π。在4π的幾何架構,固態照明產品的總表面積不可超過球壁總面積的2%,例如,在一個2公尺積分球內,待測物若為一個球狀物,其直徑必須小于30毫米。若為線狀產品,其縱向尺寸應小于球直徑的三分之二。在2π架構,安裝固態照明產品的開口直徑應小于球直徑的三分之一。另外固定燈具的治具不可導熱,以避免影響球體溫度。

圖3 積分球裝置之幾何架構。(a)為4π架構,燈體放置于球體中心,(b)為2π架構,適用于前射發光型之光源,燈體放置于球體側面。
內部涂層反射率則須達90~98%。積分球內的涂層反射率較高,于量測時可得到較高的訊號,且對于積分球內不均勻的空間響應及固態照明光強度分布變化所引起的誤差也可降低。但反射率高時,球體開口尺寸大小對平均反射率的影響就須予以評估。
積分球內應裝有輔助燈,其作用在于評估燈體自吸收的部分,以得到自吸收因子。檔板大小應盡量縮小,但須能防止球體所允許量測最大尺寸燈體的光線直射偵測器。而文件板的放置位置,一般建議為從偵測器算起,介于球半徑三分之一至二分之一長度的距離為文件板位置。另外輔助燈也須有檔板,作用一樣是避免光線直射偵測器。
[page]
測量全光光譜輻射通量的標準燈通常是石英鎢絲白熾燈(圖4)。它有較寬的連續光譜表現,因此用以校正可見光域的光譜輻射計。對于2π球體,僅需前半面發光的標準燈,作法可將石英鎢絲白熾燈,加上反射罩使光線為前射型。對于4π球體,通常使用全向發光的標準燈,但也可用前射標準燈。

圖4 常見用以校正用之石英鎢絲白熾燈
須注意的重點為標準燈的點燈擺放位置將影響結果,也就是說,如果標準燈送往校正單位進行量測時,其擺放位置為何,在傳遞至待校正的系統時,標準燈擺放的方式要相同。另外對于待測光源的光型分布與標準燈的光型分布差異大時也會影響量測值,例如,待測光源是窄角光型的分布,但標準燈為全向近乎等量的光型分布,若以此種標準燈進行校正,再量測窄角光型燈源,結果必定差異很大,因此可準備多種光型分布的標準燈進行校正,以量測不同光型分布的待測樣品。 以積分球形式量測可搭配兩種偵測器,一種為V(λ)亮度計(積分球-亮度計系統),另一種為光譜輻射計(即光譜儀)(積分球-光譜輻射計系統)。
與亮度計共享可量測全光通量
積分球-亮度計系統所使用的V(λ)亮度計可用以量測全光通量,但對于亮度計探頭上的濾片,其光譜響應S(λ)對人眼的明視覺光譜視效函數V(λ)匹配不佳時,將導致量測上的誤差,尤其是固態照明為白光光源時,多以藍光激發黃色熒光粉產生,在藍光波段的視效函數匹配不佳時,差異的比例就會加大,圖5即說明視效函數匹配問題。亮度計探頭的光譜響應與V(λ)曲線不匹配的程度,CIE用來表示f''''''''''''''''1,f''''''''''''''''1值越小兩者間不匹配的程度越小。另外,使用V(λ)亮度計為偵測探頭時,無法進行光色特性的量測。

圖5 白光LED多以藍光激發黃色熒光粉,在藍光波段(圖中箭號表示)處,亮度計探頭的視效函數(虛線表示)響應與CIE V(λ)匹配不佳時,差異的比例就會加大。
撘配光譜儀可消除V(λ)失匹配誤差
由光度量定義,只要測出被測光源的光譜功率分布,再與V(λ)加權積分,就可以求出相對應的光度量,這種測量光譜光度量的方法為分光法。用分光法可以消除探頭的V(λ)失匹配和被測光源與標準光源的光譜功率分布不一致所帶來的誤差。光源的光譜輻射功率分布由光譜輻射計測量,分光法測量光度量的精度主要取決于光譜輻射計的線性動態范圍、重復性、光譜波長誤差、雜散光和標定誤差等。
藉由量得的光源光譜輻射功率分布即可進行光色特性數值的計算,包含色度、相對色溫及演色性(CRI)。
此類系統必須參照一個有校準到全可見光域分光輻射通量標準燈來進行校正。其量測原理為通過與參照標準ΦREF (λ)比較,可得到被測固態照明產品的總分光輻射通量ΦTEST (λ),關系式如公式(1)。
………………公式(1)
公式(2)中,yTEST (λ)為待測樣品在此系統下的光譜輻射計的讀值、yREF(λ)為參照標準燈在此系統下的光譜輻射計的讀值,α(λ)則為自吸收因子。
………………公式(2)
yaux,TEST (λ)為不點亮待測樣品,點亮輔助燈,在此系統下的光譜輻射計的讀值;yaux,REF (λ)則為不點亮參照標準燈,點亮輔助燈時,在此系統下的光譜輻射計讀值。從測得的ΦTEST (λ)(單位:W/奈米)總分光輻射通量,可使用公式(3)計算總光通量 ΦTEST (單位:流明)。
………………公式、(3)
[page]
欲獲得光源光型分布信息 非使用配光曲線量測不可
配光曲線量測系統可提供待測光源燈具光強度在空間中的分布,進而透過積分運算得到光通量,此時的光通量可經計算得到全光通量、區域光通量的信息。
此系統也可支持較大型燈具量測。配光曲線量測系統須有暗房、良好的環境溫度控制及避免空氣擾動,尤其對于對溫度敏感的固態照明燈具尤其重要。因配光曲線儀為量測空間中各點的光強度值再進行運算,相較于積分球,配光曲線量測系統的量測很耗時,但對于必須得知光源光型分布的情況,就不得不使用此系統來量測。
配光曲線量測系統所使用的偵測器與前面所述積分球量測系統一樣,可搭配亮度計或光譜輻射計進行量測,于是配光曲線儀-亮度計系統及配光曲線儀-光譜輻射計系統應運而生。LM-79特別要求使用亮度計的f''''''''''''''''1須小于3%。不論是哪種系統都是量測燈源各方向的光強度值,再進行積分而得出光通量值。特別的是,若須要得知各角度的顏色分布,如能源之星針對固態照明要求量測各角度的光色差值時,就一定要使用光譜輻射計,才可得知待測燈源的光色特性。
C-γ配光曲線儀符合LM-79規范
配光曲線儀可分為A-α、B-β、C-γ三種形式,詳見圖6~8。為確保量測時的光源擺放姿態即為使用時的姿態,僅有C-γ符合需求,LM-79因此規定僅可使用C-γ形式的配光曲線儀。C-γ型配光曲線儀包含移動偵測器探頭及移動反光鏡的類別。

圖6 配光曲線儀A-α量測形式示意圖

圖7 配光曲線儀B-β量測形式示意圖
[page]

圖8 配光曲線儀C-γ量測形式示意圖
對于大型燈具,若要符合偵測位置須達最大發光尺寸直徑十倍距離遠的要求(LM-79第10.0節說明寬發光角光源為五倍,窄角光源須更遠),礙于實際執行空間的限制,便必須使用反光鏡。此時應注意鏡子本身存在一輕微極化的因素,若量測發出極化光源的固態照明產品的光通量時,就會造成很大的誤差,因此推薦使用不帶鏡子的配光曲線儀。有些配光曲線儀會在旋轉背上直接裝設偵測器,如此即不須透過反光鏡,當然,若燈具過大則無法使用。
此外,也須注意配光曲線儀在環境雜散光的處理。包含燈具光源在機構件上的反光、燈具本體的反光、地面墻面反光等,都應加以評估并使用適當的架構,如在偵測期前裝置光陷阱(Light Trap)避免反射雜光進入偵測器,影響量測值。
配光曲線儀架構發展久遠
藉由量測光強度分布I(θ,Φ)如圖9所示,光通量可由公式(4)求得。若以亮度探頭量測照度值E(θ,Φ)進行校正,光通亮的計算方式可由公式(5)計算出來。其中γ為相對于亮度探頭參考平面的旋轉半徑。量測光強度時,γ須要有足夠的長度。
………………公式(4)
………………公式(5)

圖9 配光曲線儀測試光通量示意圖
常見幾種配光曲線儀的運作架構,有中心旋轉反射鏡式及圓周運動反射鏡式。這兩種架構都已有幾十年的歷史了,中心旋轉反射鏡式其運作方式如圖10,待測燈具必須在相當大的空間范圍內繞著反射鏡反向且同步旋轉,在暗室中上部溫度高及下部溫度低的現象,溫差有時達到2~5℃,此時對溫度變化和氣流敏感的燈具如固態照明燈具,極可能出現不穩定的現象,為降低氣流流動對燈具的影響,在運行時須放慢速度,量測時間也就增加了。

圖10 中心旋轉反射鏡式之配光曲線儀架構示意
[page]
圓周運動反射鏡式其運作方式如圖11,待測燈僅自轉不須做大范圍的繞行,相對于中心旋轉反射鏡式的配光曲線較為穩定,但根據CIE-70的規定,入射到偵測器的主光線應被限制在2.5度內,因此須要將量測距離拉長才可滿足此要求,但對于光線較弱的小型光源,如此長的量測距離,可能受限偵測器的靈敏度,不易量測。

圖11 圓周運動反射鏡式之配光曲線儀架構示意
工研院量測中心目前使用配光曲線儀為圖12的架構,燈具僅緩步自轉,且量測時燈具為使用時的擺放姿態,穩定性佳。量測時有兩種模式,一為透過雙面反射鏡提供大型燈具的遠距離量測;另一模式不透過反射鏡提供小型燈具如嵌燈、E27燈等的近距離(約1公尺)的量測。

圖12 工研院量測中心之配光曲線儀及其量測光源路徑示意
配光曲線儀的校正
使用配光曲線儀進行光強度分布的測試,須使用照度或光強度標準燈進行國際標準追溯。若量測全光通量則須使用全光通量標準燈進行標準追溯,原則上標準燈的光型分布建議與待測燈源的光型相似。
LM-79特別說明使用配光曲線儀量得的光強度分布數據,須依照IES LM-63規范定義的格式,形成IES電子文件,以方便后續于照度分度上的模擬計算使用。
發光效率ηv的計算如下列公式(6)所述,為待測固態照明產品的總光通量ΦTEST除以總消耗功率PTEST,此指標是用以評估固態照明電光效能轉換的重要指標。
………………公式(6)
固態照明在顏色特性的量測上包含色度坐標、相對色溫、演色性,對于固態照明其顏色特性在不同的空間角度可能是不同的,LM-79規范在第12.1至12.2節當中進行定義。
第12.1節為使用積分球-光譜輻射計系統進行分光輻射通量的量測,再計算出顏色特性,此時量得的固態照明顏色特性為空間分布的平均表現。
第12.2節為使用前述配光曲線儀的機構方式,搭配光譜輻射計或是色度計進行空間顏色特性分布量測。這個方式適用于無法使用積分球進行量測,如大型燈具。重要的是,此方法可量得固態照明光源的空間顏色差異。若要得到空間平均的顏色特性,就將空間中各點的顏色數據進行平均即可得到。
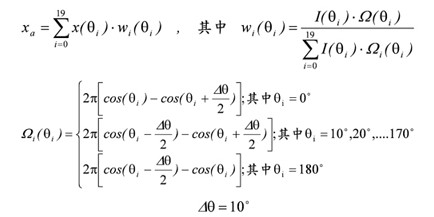
在量測θ=0°和90°(或更多的θ角)的色度坐標和光強度時,首先在每個θ角上取平均,表示為x(θi)、y(θi)以及I(θi),這里的θi=0°、10°、20°等直到180°。然后平均色度坐標xa由下列加權平均式子算出,量測示意圖如圖13。

圖13 圖中為使用配光曲線儀量測固態照明顏色特性示意圖,該燈具為僅朝下半面發光之形式。
[page]
………………公式(7)
平均色度坐標ya 也是使用相同的算法。此計算方式是近似算法但對于實際應用已算是足夠正確。嚴格說來,若要很精確的進行顏色特性的空間積分須要經由三刺激值計算X、Y、Z。
在使用光譜輻射計進行顏色特性的量測時,LM-79定義光譜輻射計的量測波長范圍至少為380~780奈米,這是可見光的波長范圍,掃描間隔為5奈米或是更小的間距,如此才可確保量測的精確性。
在兩個空間垂直平面(ψ=0o,ψ=90o)量測,空間平均色度坐標是由前述公式(7)取得。LM-79中所定義的固態照明燈具空間色差Δu''''''''''''''''v''''''''''''''''為從計算空間平均色度坐標的所有量測點中,對空間平均色度坐標的最大差異(即在CIE(u''''''''''''''''v'''''''''''''''')坐標圖中,兩點間最大距離)所決定的。
量測方法一致性可推動產業發展
固態照明的發展目前正如火如荼的進行,為使固態照明取代傳統照明能順利推動,美國能源之星正積極展開相關計劃,期望藉由對固態產品特性量測方式定義的一致性,使產品能有一致的手法來評估,而得以分出固態照明產品的優劣,使此產業有正向推動力。國內業者要推動固態照明產業除了國內內需市場、大陸市場,另一部分應是歐美市場。而了解能源之星對固態照明的驗證量測方法并進行測試驗證,將有助于質量的提升。


