【導讀】作為工程師要了解功率二極管這個電子元器件的所有方面是很必須的,特別是作為菜鳥級別的工程師。本文就將依次介紹了功率二極管的基礎,二極管的發熱和溫度計算,功率二極管功耗的全計算過程。
功率二極管基礎
二極管電流公式:

注意的參數:

Forward-bias(正向偏置恢復時間)

影響條件:
正向電流(電流越大反向時間越長)
反向電壓(電壓越小反向時間越長)
電流變化速度,速度越快減小恢復時間卻會加長存儲時間
結溫越高同時增加恢復時間和存儲時間
[page]
reverse-bias(反向偏置)

影響條件:
正向電流(電流越大正向電壓越大)
電流脈沖上升時間(脈沖越陡正向電壓越大)
溫度影響不大
綜合整個過程

計算結溫過程(對于脈沖電流的計算方法)


精確計算二極管發熱和溫度
博主注:這些計算都是有適用條件的(大電流的功率二極管一定要算,一般的二極管就不用算了),所以還沒有深入淺出的搞清楚計算的界限。
擬合用的是Mathcad。
計算二級管的散熱情況
在設計功率電源的時候,二級管一般損耗比較大,而且為了能夠更加精確的去分析,我們來看一下一般的計算過程。
Losses due to forward voltagedrop(正向功耗)
P.f=V.f*I.o
V.f:正向導通電壓
I.o:輸出電流
Losses due to diode leakage current(反向功耗)
P.r=V.r*I.r
V.r:反向電壓
I.r:反向電流
我們假設電路為:

然后把參數羅列出來計算

然后可以計算出來:

我們可以得到什么結論呢:二級管燒掉了。這種邏輯在于,結溫直接從85度環境溫度上升到半導體的極限150攝氏度。

這里我們假設二級管直接按照最大的熱阻和最大功耗,這是有問題和值得思量的,現在我們換種思路:

我們可以發現,二級管其實并不會壞。問題就集中在于二級管的模型沒有建立好。
[page]
建立模型很重要,如果按照單個最大值來分析,我們面臨的問題是把它的范圍放得很大,對于比較臨界的問題來說,基本把可以用的元器件排斥在外了。

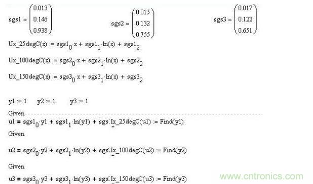
因此我們需要仔細建立模型,正向電壓的過程如下:
藍色為從圖中抓取的數據,紅色為我們知道的PN結模型,下面一個紅色的為曲線擬合過程:


結果如下:

反向電流也是同樣地:

這些做完以后我們可以很精確的知道,溫度,電壓這些對于管子的實際影響了。
功率二極管的功耗計算
前面關于功率二極管,基礎,熱阻,正向壓降都已經涉及到了。在這里需要補充全計算過程:


正向壓降功耗:
算法1:
P.f=V.f*I.o
V.f:正向導通電壓
I.o:輸出電流

算法2:
Vf=Vo+If*Rs
Pf=Vo*If+Rs*If^2

反向電流功耗:
這個值不太好估計,因為Vr也在變化,因此我建議以實測為主:

實測:

然后可測得電壓下降波形進行計算。
漏電流功耗:
P.r=V.r*I.r V.r:反向電壓 I.r:反向電流



