【導讀】越來越多的應用要求數據采集系統必須在極高環境溫度下可靠地工作,例如井下油氣鉆探、航空和汽車應用等。雖然這些行業的最終應用不盡相同,但某些信號調理需求卻是共同的。這些系統的主要部分要求對多個傳感器進行精確數據采集,或者要求高采樣速率。
此外,很多這樣的應用都有很嚴格的功率預算,因為它們采用電池供電,或者無法耐受自身電子元件發熱導致的額外升溫。因此,需要用到可以在溫度范圍內保持高精度,并且可以輕松用于各種場景的低功耗模數轉換器 (ADC) 信號鏈。這類信號鏈見圖1;該圖描繪了一個井下鉆探儀器。
雖然額定溫度為175°C的商用IC數量依然較少,但近年來這一數量正在增加,尤其是諸如信號調理和數據轉換等核心功能。這便促使電子工程師快速可靠地設計用于高溫應用的產品,并完成過去無法實現的性能。雖然很多這類IC在溫度范圍內具有良好的特性化,但也僅限于該器件的功能。顯然,這些元件缺少電路級信息,使其無法在現實系統中實現最佳性能。
本文中,我們提供了一個新的高溫數據采集參考設計,該設計在室溫至175°C溫度范圍內進行特征化。該電路旨在提供一個完整的數據采集電路構建塊,可獲取模擬傳感器輸入、對其進行調理,并將其特征化為SPI串行數據流。該設計功能非常豐富,可用作單通道應用,也可擴展為多通道同步采樣應用。由于認識到低功耗的重要性,該ADC的功耗與采樣速率成線性比例關系。該ADC還可由基準電壓源直接供電,無需額外的電源軌,從而不存在功率轉換相關的低效率。這款參考設計是現成的,可方便設計人員進行測試,包含全部原理圖、物料清單、PCB布局圖和測試軟件。

圖1. 井下儀器數據采集信號鏈。

圖2. 數據采集電路簡化原理圖。
電路概覽
圖1所示電路是一個16位、600 kSPS逐次逼近型模數轉換器系統,其所用器件的額定溫度、特性測試溫度和性能保證溫度為175°C。很多惡劣環境應用都采用電池供電,因此該信號鏈針對低功耗而設計,同時仍然保持高性能。
本電路使用低功耗(600 kSPS時為4.65 mW)、耐高溫PulSAR® ADCAD7981,它直接從耐高溫、低功耗運算放大器AD8634驅動。AD7981 ADC需要2.4 V至5.1 V的外部基準電壓源,本應用選擇的基準電壓源為微功耗2.5 V精密基準源ADR225 ,后者也通過了高溫工作認證,并具有非常低的靜態電流(210°C時最大值為60 μA)。本設計中的所有IC封裝都是專門針對高溫環境而設計,包括單金屬線焊。
模數轉換器
本電路的核心是16位、低功耗、單電源ADC AD7981,它采用逐次逼近架構,最高支持600 kSPS的采樣速率。如圖1所示,AD7981使用兩個電源引腳:內核電源 (VDD) 和數字輸入/輸出接口電源 (VIO)。VIO引腳可以與1.8 V至5.0 V的任何邏輯直接接口。VDD和VIO引腳也可以連在一起以節省系統所需的電源數量,并且它們與電源時序無關。圖3給出了連接示意圖。
AD7981在600 kSPS時功耗典型值僅為4.65 mW,并能在兩次轉換之間自動關斷,以節省功耗。因此,功耗與采樣速率成線性比例關系,使得該ADC對高低采樣速率——甚至低至數Hz——均適合,并且可實現非常低的功耗,支持電池供電系統。此外,可以使用過采樣技術來提高低速信號的有效分辨率。

圖3. AD7981應用圖。
AD7981有一個偽差分模擬輸入結構,可對IN+ 與IN− 輸入之間的真差分信號進行采樣,并抑制這兩個輸入共有的信號。IN+ 輸入支持0 V至VREF的單極性、單端輸入信號,IN− 輸入的范圍受限,為GND至100 mV。AD7981的偽差分輸入簡化了ADC驅動器要求并降低了功耗。AD7981采用10引腳MSOP封裝,額定溫度為175°C。
ADC驅動器
AD7981的輸入可直接從低阻抗信號源驅動;然而,高源阻抗會顯著降低性能,尤其是總諧波失真 (THD)。因此,推薦使用ADC驅動器或運算放大器(如AD8634)來驅動AD7981輸入,如圖4所示。在采集時間開始時,開關閉合,容性DAC在ADC輸入端注入一個電壓毛刺(反沖)。ADC驅動器幫助此反沖穩定下來,并將其與信號源相隔離。
低功耗(1 mA/放大器)雙通道精密運算放大器AD8634適合此任務,因為其出色的直流和交流特性對傳感器信號調理和信號鏈的其他部分非常有利。雖然AD8634具有軌到軌輸出,但輸入要求從正供電軌到負供電軌具有300 mV裕量。這就使得負電源成為必要,所選負電源為 –2.5 V。AD8634提供額定溫度為175°C的8引腳SOIC封裝和額定溫度為210°C的8引腳FLATPACK封裝。

圖4. ADC前端放大器電路。
ADC驅動器與AD7981之間的RC濾波器衰減AD7981輸入端注入的反沖,并限制進入此輸入端的噪聲帶寬。不過,過大的限帶可能會增加建立時間和失真。因此,為該濾波器找到最優RC值很重要。其計算主要基于輸入頻率和吞吐速率。
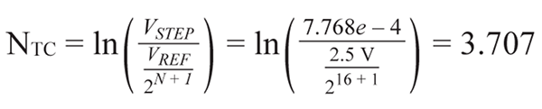
由AD7981數據手冊可知,內部采樣電容CIN = 30 pF且tCONV = 900 ns,因此正如所描述的,對于10 kHz輸入信號而言,假定ADC工作在600 kSPS且CEXT = 2.7 nF,則用于2.5 V基準電壓源的電壓步進為:

因此,在16位處建立至½ LSB所需的時間常數數量為:

AD7981的采集時間為:

通過下式可計算RC濾波器的帶寬:

這是一個理論值,其一階近似應當在實驗室中進行驗證。通過測試可知最優值為REXT = 85 Ω和CEXT = 2.7 nF (f–3dB = 693.48 kHz),此時在高達175°C的擴展溫度范圍內具有出色的性能。
在參考設計中,ADC驅動器采用單位增益緩沖器配置。增加ADC驅動器增益會降低驅動器帶寬,延長建立時間。這種情況下可能需要降低ADC吞吐速率,或者在增益級之后再使用一個緩沖器作為驅動器。
基準電壓源
ADR225 2.5 V基準電壓源在時210°C僅消耗最大60 μA的靜態電流,并具有典型值40 ppm/°C的超低漂移特性,因而非常適合用于該低功耗數據采集電路。該器件的初始精度為±0.4%,可在3.3 V至16 V的寬電源范圍內工作。
像其他SAR ADC一樣,AD7981的基準電壓輸入具有動態輸入阻抗,因此必須利用低阻抗源驅動,REF引腳與GND之間應有效去耦,如圖5所示。除了ADC驅動器應用,AD8634同樣適合用作基準電壓緩沖器。
使用基準電壓緩沖器的另一個好處是,基準電壓輸出端噪聲可通過增加一個低通RC濾波器來進一步降低,如圖5所示。在該電路中,49.9 Ω電阻和47 μF電容提供大約67 Hz的截止頻率。

圖5. SAR ADC基準電壓緩沖器和RC濾波器。
轉換期間,AD7981基準電壓輸入端可能出現高達2.5 mA的電流尖峰。在盡可能靠近基準電壓輸入端的地方放置一個大容值儲能電容,以便提供該電流并使基準電壓輸入端噪聲保持較低水平。一般而言,采用低ESR——10 μF或更高——陶瓷電容,但對于高溫應用來說會有問題,因為缺少可用的高數值、高溫陶瓷電容。因此,選擇一個低ESR、47 μF鉭電容,其對電路性能的影響極小。
數字接口
AD7981提供一個兼容SPI、QSPI和其他數字主機的靈活串行數字接口。該接口既可配置為簡單的3線模式以實現最少的I/O數,也可配置為4線模式以提供菊花鏈回讀和繁忙指示選項。4線模式還支持CNV(轉換輸入)的獨立回讀時序,使得多個轉換器可實現同步采樣。
本參考設計使用的PMOD兼容接口實現了簡單的3線模式,SDI接高電平VIO。VIO電壓是由SDP-PMOD轉接板從外部提供。轉接板將參考設計板與ADI系統開發平臺 (SDP) 板相連,并可通過USB連接PC,以便運行軟件、評估性能。
電源
本參考設計的 +5 V和 −2.5 V供電軌需要外部低噪聲電源。由于AD7981是低功耗器件,因此可通過基準電壓緩沖器直接供電。這樣便不再需要額外的供電軌——節省電源和電路板空間。通過基準電壓緩沖器為ADC供電的正確配置如圖6所示。如果邏輯電平兼容,那么還可以使用VIO。就參考設計板而言,VIO通過PMOD兼容接口由外部供電,以實現最高的靈活性。

圖6. 從基準電壓緩沖器為ADC供電。
175°C時,整個數據采集解決方案的典型總功耗可計算如下:
ADR225: 30 µA × 5 V = 0.15 mW
AD8634:(1 mA × 2個放大器)× 7.5 V = 15 mW
AD7981: 4.65 mW @ 600 kSPS
總功耗 = 19.8 mW
IC封裝和可靠性
ADI公司高溫系列中的器件要經歷特殊的工藝流程,包括設計、特性測試、可靠性認證和生產測試。專門針對極端溫度設計特殊封裝是該流程的一部分。本電路中的175°C塑料封裝采用一種特殊材料。
耐高溫封裝的一個主要失效機制是焊線與焊墊界面失效,尤其是金 (Au) 和鋁 (Al) 混合時(塑料封裝通常如此)。高溫會加速AuAl金屬間化合物的生長。正是這些金屬間化合物引起焊接失效,如易脆焊接和空洞等,這些故障可能在幾百小時之后就會發生,如圖7所示。

圖7. 195°C下500小時后鋁墊上的金球焊。
為了避免失效,ADI公司利用焊盤金屬化 (OPM) 工藝產生一個金焊墊表面以供金焊線連接。這種單金屬系統不會形成金屬間化合物,經過195°C、6000小時的浸泡式認證測試,已被證明非常可靠,如圖8所示。

圖8. 195°C下6000小時后OPM墊上的金球焊。
雖然ADI公司已證明焊接在195°C時仍然可靠,但受限于塑封材料的玻璃轉化溫度,塑料封裝的額定最高工作溫度僅為175°C。除了本電路所用的額定175°C產品,還有采用陶瓷FLATPACK封裝的額定210°C型號可用。同時有已知良品裸片 (KGD) 可供需要定制封裝的系統使用。
對于高溫 (HT) 產品,ADI公司有一套全面的可靠性認證計劃,包括器件在最高工作溫度下偏置的高溫工作壽命 (HTOL)。數據手冊規定,HT產品在最高額定溫度下最少可工作1000小時。全面生產測試是保證每個器件性能的最后一步。ADI高溫系列中的每個器件都在高溫下進行生產測試,確保達到性能要求。
無源元件
應當選擇耐高溫的無源元件。本設計使用175°C以上的薄膜型低TCR電阻。COG/NPO電容容值較低常用于濾波器和去耦應用,其溫度系數非常平坦。耐高溫鉭電容有比陶瓷電容更大的容值,常用于電源濾波。本電路板所用SMA連接器的額定溫度為165°C,因此,在高溫下進行長時間測試時,應當將其移除。同樣,0.1" 接頭連接器(J2和P3)上的絕緣材料在高溫時只能持續較短時間,因而在長時間高溫測試中也應當予以移除。對于生產組裝而言,有多個供應商提供用于HT額定連接器的多個選項,比如Micro-D類連接器。
PCB布局和裝配
在本電路的PCB設計中,模擬信號和數字接口位于ADC的相對兩側,ADC IC之下或模擬信號路徑附近無開關信號。這種設計可以最大程度地降低耦合到ADC芯片和輔助模擬信號鏈中的噪聲。AD7981的所有模擬信號位于左側,所有數字信號位于右側,這種引腳排列可以簡化設計。基準電壓輸入REF具有動態輸入阻抗,應當用極小的寄生電感去耦,為此須將基準電壓去耦電容放在盡量靠近REF和GND引腳的地方,并用低阻抗的寬走線連接該引腳。本電路板的元器件故意全都放在正面,以方便從背面加熱進行溫度測試。完整的組件如圖9所示。關于其它布局布線建議,參見AD7981數據手冊。

圖9. 參考設計電路組件。
針對高溫電路,應當采用特殊電路材料和裝配技術來確保可靠性。FR4是PCB疊層常用的材料,但商用FR4的典型玻璃轉化溫度約為140°C。超過140°C時,PCB便開始破裂、分層,并對元器件造成壓力。高溫裝配廣泛使用的替代材料是聚酰亞胺,其典型玻璃轉化溫度大于240°C。本設計使用4層聚酰亞胺PCB。
PCB表面也需要注意,特別是配合含錫的焊料使用時,因為這種焊料易于與銅走線形成銅金屬間化合物。常常采用鎳金表面處理,其中鎳提供一個壁壘,金則為接頭焊接提供一個良好的表面。此外,應當使用高熔點焊料,熔點與系統最高工作溫度之間應有合適的裕量。本裝配選擇SAC305無鉛焊料,其熔點為217°C,相對于175°C的最高工作溫度有42°C的裕量。
性能預期
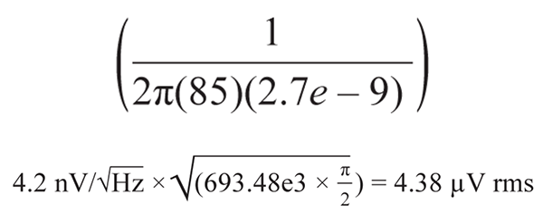
采用 1 kHz 輸入正弦信號和 5 V 基準電壓時,AD7981 的額定 SNR 典型值為 91 dB。然而,當使用較低基準電壓(比如 2.5 V,低功耗/低電壓系統常常如此),SNR 性能會有所下降。我們可以根據電路中使用的元件規格計算理論 SNR。由 AD8634 放大器數據手冊可知,其輸入電壓噪聲密度為4.2 nV/Hz,電流噪聲密度為 0.6 pA/Hz。由于緩沖器配置中的 AD8634 噪聲增益為 1,并且假定電流噪聲計算時可忽略串聯輸入電阻,則 AD8634 的等效輸出噪聲貢獻為:
RC濾波器之后的ADC輸入端總積分噪聲為:

AD7981的均方根噪聲可根據數據手冊中的2.5 V基準電壓源典型信噪比(SNR,86 dB)計算得到。

整個數據采集系統的總均方根噪聲可通過AD8634和AD7981噪聲源的方和根 (RSS) 計算:

因此,室溫 (25°C) 時的數據采集系統理論SNR可根據下式近似計算:

測試結果
電路的交流性能在25°C至185°C溫度范圍內進行評估。使用低失真信號發生器對性能進行特性化很重要。本測試使用Audio Precision SYS-2522。為了便于在烤箱中測試,使用了延長線,以便僅有參考設計電路暴露在高溫下。測試設置的功能框圖如圖10所示。

圖10. 特性測試設置。
由前文設置中的計算可知,室溫下我們期望能達到大約86 dB的SNR。該值與我們在室溫下測出的86.2 dB SNR相當,如圖11中的FFT摘要所示。

圖11. 1 kHz輸入信號音、580 kSPS、25℃時的交流性能。
評估電路溫度性能時,175°C時的SNR性能僅降低至約84 dB,如圖12所示。THD仍然優于 −100 dB,如圖13所示。本電路在175°C時的FFT摘要如圖14所示。

圖12. SNR隨溫度的變化(1 kHz輸入信號音、580 kSPS)。

圖13. THD隨溫度的變化(1 kHz輸入信號音、580 kSPS)。

圖14. 1 kHz輸入信號音、580 kSPS、175℃時的交流性能。
小結
本文中,我們提供了一個新的高溫數據采集參考設計,表述了室溫至175°C溫度范圍內的特性。該電路是一個完整的低功耗 (
參考電路
Arkin, Michael, Jeff Watson, Michael Siu, and Michael Cusack. “用于極高溫度環境的精密模擬信號調理半導體。” 高溫電子網絡匯刊 (Proceeding from the High Temperature Electronics Network), 2013.
AD7981.
Digilent Pmod 規格.
Harman, George. 微電子的線焊. McGraw Hill,2010年2月。
Phillips,Reggie等人。"適合深井應用的高溫陶瓷電容 (High Temperature Ceramic Capacitors for Deep Well Applications)。"CARTS 2013 國際會議論文集(CARTS International 2013 Proceedings)。2013年3月。Houston, TX.
Siewert, Thomas, Juan Carlos Madeni, and Stephen Liu. “電子制造業APEX研討會論文集無鉛焊料和銅基體之間界面的金屬間化合物的形成和生長.” Proceedings of the APEX Conference on Electronics Manufacturing, Anaheim, California, April, 2003年4月
Walsh, Alan. “精密SAR模數轉換器的前端放大器和RC濾波器設計.” Analog Dialogue,模擬對話,第46卷第4期,2012年。
Walsh, Alan. “精密逐次逼近型ADC的基準電壓源設計.” Analog Dialogue,模擬對話,第47卷第2期,2013年。
Watson, Jeff and Gustavo Castro. “高溫電子器件給設計和可靠性帶來挑戰.” 模擬對話,第46卷第2期,2012年。
Zední?ek, Tomas, Zdeněk Sita, and Slavomir Pala. “適用于擴展工作溫度范圍的鉭電容技術.”
推薦閱讀:




