隨著物聯網和5G的飛速發展,我們日常使用的智能設備的數量正變得越來越多。現在我們每個人都會用到多種設備,而所有這些設備幾乎都需要充電并對電源進行維護。
目前可穿戴市場主要由手環和智能手表所組成。對可穿戴設備來說,最大的挑戰是如何恰當、方便地為它們持續供電。對于目前很多的手環和手表設計來說,用戶都必須先把它們脫下來,插到有線充電器上才能充電(這也是我不愿再用這類設備的原因)。即使是采用了電磁感應式充電解決方案——比如蘋果的iWatch,用戶也仍然需要把它們脫下來,放到充電器上去充電。
在我們進化出更多手臂、手指和耳朵等等之前,我們需要有一種不易被人察覺的方式來對這些設備充電并使用。讓我們用感覺不到的新方式來為可穿戴設備供電,而讓這些不斷演進、讓人眼前一亮的技術更方便使用吧。
本文將介紹這一領域中的一些最新開發成果,來為大家參考。希望這些成果有助于設計人員開發出業內迫切需要的創新解決方案。
無線供電(尼古拉·特斯拉會贊成)
現在我們幾乎所有設備都需要單獨充電,因此無線供電肯定會是贏家,也是我在這類應用中的第一選擇。
服裝級的感應式輸電
可穿戴服裝可能包含多個智能設備,用它作為配電骨干會很有前途(這方面還有許多研究工作要做)。另外,服裝與服裝之間的電能傳輸可以采用雙向感應輸電技術。參考文獻“Garment level power distribution for wearables using inductive power transfer”中選擇了基于LCL-LCL拓撲而不是串-串(SS)拓撲的電路,因為SS拓撲負載電流會隨著負載(比如電池)變化而變化(見圖1)。

圖1:無線輸電(WPT)設計中所用補償電路拓撲有四種,這里是其中兩種:(a)SS拓撲,(b)LCL-LCL拓撲。
上述電路工作在99kHz,可在智能設備之間實現雙向電能交換。
在多個設備之間進行雙向電能共享很有意義。某個設備(比如智能手機)的電池容量可能比一些小體積的設備(比如健身追蹤器)更大,因此可以用來給這些更小的設備供電。這樣,穿戴者可以在給智能手機方便充電的同時,延長那些更小設備的使用時間。
這種方法成功的關鍵是,這些可穿戴背心或服裝是以最不易讓人察覺的方式設計。采用用柔性材料制造的饋電線圈來設計是種好方法,見圖2和圖3。

圖2:饋電線圈的理想電路圖(a)及其等效電路(b)。

圖3:上方是用銅帶制作的柔性饋電線圈;下方是早期用24號硬線做的饋電線圈原型。
現在雙向輸電電路可以基于LCL逆變器來構建,其中,兩個反相方波分別輸入到四MOSFET逆變器的1號和2號輸入端,見圖4。

圖4:雙向感應式電能傳輸電路。
整個系統構建完成后,圖5就是完整的電能共享系統。

圖5:完整的電能共享系統原理圖。左邊是發射器,中間是饋電線圈,右邊是接收線圈。
能量采集
保持可穿戴設備始終充電并長久運行的另外一種好方法是射頻能量采集。這一領域正在研究中,對于可能的設計解決方案,一個例子是毫米波噴墨能量采集方法,可以用在可穿戴設計的柔性電路中(參考文獻“Millimeter-wave Ink-jet Printed RF Energy Harvester for Next Generation Flexible Electronics”)。
這種設計使用了噴墨印制的毫米波整流天線,該整流天線可以將電磁能量轉換為直流電能。
這種設計先通過天線捕獲24GHz信號,然后將信號送到整流器——該整流器前面有一個輸入匹配網絡,用于最大程度地將電能傳輸給諧波端接網絡(HTN)。例如,諧波端接網絡(HTN)對二極管在奇次諧波下提供開路阻抗,在偶次諧波下提供短路阻抗。諧波端接網絡還能將射頻分量從直流分量隔離。無過孔直流返回通路取消了信號到地的過孔,因此不會產生毫米波頻率下可能產生的嚴重寄生問題,詳見圖6。

圖6:整流天線開發概念框圖。
整個系統是由柔性液晶聚合物(LCP)基板和用Dimax FujiFilm DMP-2831噴墨打印機打印出來的銀納米粒子墨水制作的微帶線實現的。
天線采用平面2x2貼片陣列設計,4個貼片通過一個帶3個T型結點的公共饋電網絡連接,這3個T型結點都在同一層上,作為50Ω的輸入饋線,見圖7。

圖7:天線版圖。天線尺寸可以在前述參考文獻中找到。
在這個設計的實驗中,LED燈被空中傳過來的24GHz信號成功點亮。
一些有趣的元器件解決方案和技術
Powercast公司的PowerHarvester IC
Powercast公司的首席運營官/首席技術官Charles Greene博士談論了該公司的可穿戴設備供電解決方案。這家公司的解決方案讓我非常感興趣,詳見圖8。

圖8:Powercast公司的無線再充電解決方案。
可穿戴設備設計人員可以將Powercast公司的Powerharvester IC嵌入到可穿戴設備中,為一個或多個設備提供一定距離的無線充電。通過收集ISM頻段的射頻能量,這種IC可以向可穿戴設備的電池提供涓流充電。這種方法支持可水洗的密封設備。
這種解決方案的外形尺寸很小。Powerharvester芯片提供頻繁和透明的再充電,允許使用更小的電池,從而支持更小更薄的設備。
在壁櫥或梳妝臺抽屜中可以安裝類似手機發射器的小功率射頻發射器。這種發射器可以為可穿戴服裝提供充電區域。不管可穿戴設備是在壁櫥里還是在抽屜里,這些設備的電池都能自動接收涓流充電。這種方法與接收器需要依賴一定頻率范圍內的隨機射頻信號的場景不相干。圖9給出了射頻電源種類。

圖9:Charles Greene博士在2017年美國傳感器博覽會上的演講中提到的射頻電源種類。
這種創新解決方案成功的關鍵是采用了極其高效的射頻至直流轉換器設計,接下來看看這家公司管理他們系統的方式。
系統設計
Powercast的方法,因為只依靠環境中的射頻能源會很難預測。通過提供其自己的射頻能源,系統就能獲取穩定的能量流。雖然在沒有電的偏遠地區,環境能源可能是一種更好的解決方案,但我相信大部分市場,特別是可穿戴設備市場,可以使用專門、可靠的無線發射器。
圖10是距離可以從幾英寸到超過100英尺的典型專用射頻能量廣播方案。發射功率范圍可以從幾微瓦到幾毫瓦。

圖10:Powercast系統可以為支持的設備提供自動充電,參數可以根據特定設計需求進行控制。這些參數有功率等級、頻率、發射/接收天線增益和發射器數量、距離、設備工作周期以及系統成本。
頻率的重要性
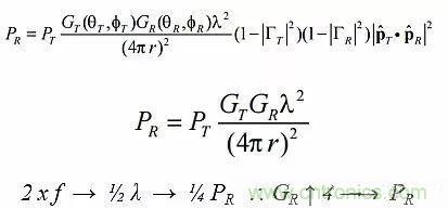
用弗里斯傳輸公式可以計算在發射天線增益為G2、距離為r、工作頻率為f或波長為λ的條件下,從增益為G1的接收天線收到的功率。Greene博士的設計就是從弗里斯公式開始的。
注:以下公式假設是遠距離工作(隨著r趨向于0,接收到的功率將趨向于無限大,因此這些公式使用有限制)。
事實上,單位為W/m2的功率密度(S)與頻率不相關:

其中: PT是發射功率; r是天線范圍或距離; ΓT是發射器反射系數; GT(θT,ΦT)是與角度有關的發射器增益。
天線的有效面積(Ae)與頻率的平方成反比:


因此,如果特定設備允許的話,增加天線尺寸會使信號在較高頻率下方向性更好。下面是基于雷達公式的計算:

其中: PR是接收到的數據功率; GR是最大的接收器增益。
相反,頻率越低,信號就越具有全向性,一般也允許更大的吞吐量。天線尺寸自然而然取決于接收設備的尺寸(例如,游戲控制器用915MHz雙極子天線,或助聽器等類似設備用2.4GHz或5.8GHz雙極子天線)。
發射器
Powercaster TX 91501發射器采用免許可ISM頻段的915MHz中心頻率,并采用直接序列擴頻(DSSS)技術對功率進行調制——DSSS是一種將原始數據信號乘以偽隨機噪聲擴展編碼的擴頻技術。擴展編碼具有更高的碼片速率(編碼比特率),支持寬帶連續時間加擾信號。軍方使用這種技術來有效對抗特別是窄帶干擾/人為干擾信號,而使信號更不容易被潛在黑客發現。
數據則是采用幅移鍵控(ASK)數字調制方案,即給正弦信號賦予兩個或多個與數字信息所采用的電平個數相對應的離散幅度電平。已調波形一般看起來像是一串正弦信號。
接收器
接收器側也是大批量OEM設計和參考設計用PCC110射頻至直流轉換器IC和PCC210升壓轉換器IC,見圖11。

圖11:接收側電源用Powerharvester芯片。
另外還有基于PCC110和PCC210 IC的P1110和P2110模塊,見圖12。

圖12:Powercast模塊是射頻進、直流出的、具有高射頻至直流轉換效率(關鍵參數之一)的器件。它們設計用于50Ω天線,支持840MHz-960MHz范圍內的多個頻段。
一些應用

圖13:降壓式涓流充電案例。

圖14:消費類電子設備可以在晚上不使用時通過圖中央的PowerSport發射器進行充電。
德州儀器可穿戴設備用電源管理參考設計
TI推出了一種可行、可擴展的可穿戴設備用電源解決方案,可以用于手表、手環等可穿戴設備(見參考文獻“Power Management Reference Design for a Wearable Device with Wireless Charging Using the bq51003 and bq25120”)。與這種方案類似的參考設計使設計人員能夠發揮他們的智慧和創造性,為可穿戴設備提供創新的供電技術,見圖15。
20171030-powerforwearables-15
圖15:TI可穿戴設備用無線供電解決方案框圖。
凌力爾特公司(現ADI公司的一部分)的醫療用可穿戴設備和可擴展電源解決方案
凌力爾特公司有一種基于LTC3107的能量采集解決方案,可用于給無線系統網絡和充電電池進行供電,見圖16。

圖16:采用熱電發生器供電的能量采集設計可以延長原電池的壽命。
凌力爾特還有一款LTC3331,用來將來自多種能源的能量轉換給可穿戴設備供電,見圖17。

圖17:LTC3331有一個全波橋式整流器,用于接收來自壓電(交流能量)、太陽能(直流能量)和磁能(交流能量)等能源的輸入。
推薦閱讀:
基于加速度傳感器的計步器設計與實現
電源線的噪聲共模干擾和差模干擾優化設計
可控的開關電源軟啟動電路應用設計
淺談集成穩壓器調整率參數的測量原理和方法


