【導讀】電源系統設計的挑戰之一是電流檢測。在降壓轉換器中,一種流行的“無開銷”方法是DCR電流檢測。但這種電路精度很低,尤其是使用小型、低ESR電感器時,因此將被其它方法取代,如電流檢測電阻器,或功率鏈路器件。
降壓轉換器是最常見的電源拓撲,電源工程師深知其優點和缺點。電源系統設計的挑戰之一是電流檢測。在降壓轉換器中,一種流行的“無開銷”方法是 DCR 電流檢測。說它“無開銷”,是因為這種方法不會使電源設計增加額外的成本或功耗,但人所共知的是,這種電路精度很低,尤其是使用小型、低ESR電感器時,更是這樣。
先來看看DCR檢測電路的組成。這種電路足夠簡單:給輸出電感器增加一個RC網絡,生成差分信號就行了。RC網絡將電感器電流轉換成C1兩端的電壓。

圖1:DCR電流檢測電路。
RC值的計算足夠簡單,RC=L/DCR,其中:
L = L1的電感值; DCR = 電感器L1的DC電阻; R = 圖1原理圖中的R2(或者,如果有R3存在,就是R2和R3的并聯); C = 圖1原理圖中的C1。
請注意,在圖1中,如果ISENSE峰值信號的幅度使差分放大器飽和,那么就增加R3,以降低該峰值信號幅度,使其處于差分放大器的規定范圍內。
“無開銷”總是受歡迎的,但常言說得好,“便宜無好貨,好貨不便宜”。這種電路的精度非常差。
首先,電感器的DCR有很寬的容限范圍,± 7%甚至±10%是很常見的。

圖2:電感器DCR的典型規格。
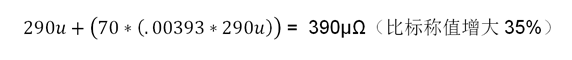
如果初始容限為10%,那么圖1所示的180nH電感器的DCR可能低至261mΩ或高達319mΩ。雪上加霜的是,電感器會發熱,銅線繞組的溫度系數為3930PPM/ºC或0.393%/ºC。如果應用的溫度上升至比環境溫度高35ºC,電感器本身發熱使溫度再上升35ºC,那么標稱DCR就可能升至:

最差情況的上限為:

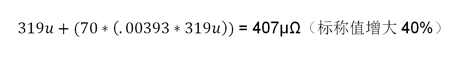
最差情況的下限為:

(標稱值增大15%。總誤差會低些,因為銅線的正系數補償了電感器的低初始值。)
從工程設計的角度來看,這確實很糟糕,因為過流標記和過流停機都是基于這些電阻設定的。如果電路太敏感,就會在沒有達到需要停機的程度就停機了。這不是我們想要的結果。如果電路不敏感,就會有電感器和功率FET壓力過大的風險。這更不是我們想要的結果。
情況能糟糕到什么程度?
假定正在設計一個能在1V時提供最大35A的電路(目前對一個切合實際的單相降壓轉換器而言,這個數值是合乎情理的)。如果電感器DCR處在容限低端,那么輸出得到35A時,控制器認為提供了40A。這意味著,OCP不能設定為低于40A,否則電源會在標稱負載時停機。反過來,當OCP設定為40A,電感器DCR增大10%時,情況會變得多糟糕?
在這種情況下,實際負載電流為40A,但DCR為407µΩ,因此控制器認為輸出電流是65A。這意味著,OCP需要設定為65A,如果不設定為這個數值,就有在不到40A時就出現OCP停機的風險。這似乎不能接受,可一旦OCP設定為65A,電路就必須設計成,在偶爾準確報告電流的情況下,也得連續提供這么大的電流。
這意味著輸出電感器和功率FET嚴重過度設計,電源必須提供35A,但卻必須按照能夠連續提供65A來設計。而且,使情況更糟的是,電感器中的電流除了有DC分量,還存在峰值至峰值紋波。這個紋波有多大呢?對紋波電流而言,通常的設計原則是20%。這意味著,逐周期限流值必須設定為高于65A,因此保護輸出FET的能力就變得非常成問題了。猜猜看,如果針對30%紋波電流來設計,會發生什么情況?
然后,你會意識到,典型的電流檢測電壓范圍為10mV至20mV。如果在一個電源中,有開關節點振鈴,有輸出電感器產生的雜散磁場,還有電流在旁路電容器和輸出電容器中流通,那么就很難得到可以接受的信噪比(SNR)。要想信號質量還有任何希望的話,電流檢測連接線必須仔細布置成差分對(因此,所拾取的任何噪聲都是共模的),并布置得遠離電感器、開關節點和大電流/高頻電流回路。這在空間受限的設計中是很難的,一如現在空間受限設計中的一切看起來都很難一樣。

圖3:開爾文電感器電流檢測布線。
我們能做什么?首先,通過使用熱敏電阻器或溫度檢測二極管(通常是小型晶體管中正向偏置的PNP基-射節),可以基于經驗估計出電感器的溫度。通過這種方式,可以調節銅線繞組電阻的熱響應。這太有幫助了。工程師們真是太了不起了。如果我們確實做得非常仔細,那么最好的結果有可能達到±10%。
我們還能做什么?我們可以忽略“無開銷”的DCR電路,給輸出電感器串聯一個昂貴的、溫度穩定的電流檢測電阻器。這增加了成本,損害了轉換器的效率,但是憑借良好的差分信號布線,我們能夠以高得多的精度檢測輸出電流。隨著容限累積,我們可以得到±5%或更好的總體電流檢測性能。工程師們在設計評審中既證明了這種方案的合理性,又避開了對其設計影響效率和成本的批評,他們的勇氣令我欽佩。
使用一個由溫度穩定的合金繞組構成的電感器如何?這個想法一露頭,我的心就被嚇得狂跳不止。
還有其它方法嗎?有個東西比電流檢測電阻器要好。讓功率鏈路器件報告其電流。這種方法運用設計良好的智能電源狀態(SPS),雖然增加了電流檢測成本,但是能夠提供與標稱輸出要求非常接近的峰值功率能力,二者功過相抵。結果大大減少了過度設計功率鏈路元件導致的浪費。對這種電流檢測方法我們可以寄予多大期望?就合理的運行區域而言(不要期望輸出電流處在零附近時出現奇跡),我們可以得到±1%初始精度,隨著老化和溫度變化,最差的容限為±2%。
一年又一年,技術的進步為工程師們提供了越來越好的基本構件。讓“無開銷”的DCR電流檢測電路隨風而去吧。
本文轉載自電子技術設計。
推薦閱讀:





