【導讀】產品的研制和生產過程中,非常重要的一項測量參數就是噪聲系數。噪聲系數表征著接收機及組成部件在有熱噪聲存在的情況下,處理微弱信號能力的關鍵參數之一,噪聲計量測試的重要內容就是噪聲系數的計量測試。
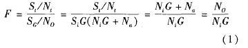
在工程上定義噪聲因子(F)為若線性兩端口網絡具有確定的輸入端和輸出端,且輸入端源阻抗處于290。K(室溫)時,網絡輸入端信號噪聲功率比與網絡輸出端信號噪聲功率比的比值。

其中, Si為輸入信號功率,Ni為輸入噪聲功率,So 為輸出信號功率,No為輸出噪聲功率,G為兩端口網絡增益,Na為兩端口網絡本身的噪聲功率。
它明確地表明了由于網絡產生噪聲,使網絡輸入端信噪比經過該網絡傳輸后信噪比惡化的倍數,也就是傳輸網絡對其輸出端總噪聲功率貢獻的大小。噪聲系數(NF)為噪聲因子的對數表達形式,定義如下:
1 噪聲測試儀法
使用噪聲測試儀是測量噪聲系數最直接方法,在大多數情況下也是最準確的。工程師可在特定的頻率范圍內測量噪聲系數。噪聲測試儀能夠同時顯示增益和噪聲系數來幫助測量。噪聲測試儀的測試原理圖如圖1所示。

圖1 噪聲測試儀法原理圖
噪聲測試儀測 試噪聲系數的核心是Y系數法。首先,噪聲測試儀本身是一臺接收機,可以用來測試輸人的噪聲功率;其次噪聲測試儀需要控制一個噪聲源的加電和不加電狀態,對被測件(DUT)進行測試。
噪聲系數測試儀,如AV3984噪聲系數分析儀,產生28VDC脈沖信號驅動噪聲源(AV16604),該噪聲源產生噪聲驅動DUT.由于分析儀已知噪聲源的輸入噪聲和信噪比,DUT的噪聲系數可以在內部計算和在屏幕上顯示。
使用噪聲系數測試儀是測量噪聲系數的最直接方法。測量人員可在特定的頻率范圍內測量噪聲系數,通常噪聲分析儀在超低的噪聲測量中準確度更高一些,當測量很高的噪聲系數時,測量結果會不準確。
2 增益法
目前噪聲系數的測量主要使用專用的噪聲系數測試儀,但當不具備這種專用設備或者所要求測試頻率范圍不在其范圍時,可以采用頻譜分析儀測量噪聲系數,即增益法,該方法對于頻率在所用頻譜儀頻率范圍內的被測件都能進行測量。
基于噪聲系數的定義可以得到一個測量公式 :
式(3)中,Pout是已測的噪聲功率譜密度,-174 dBm/Hz是290°K(室溫)時環境噪聲的功率譜密度,BW是感興趣的頻率帶寬,Gain是系統的增益。式(3)中每個變量均為對數,為簡化公式,我們可以直接測量輸出噪聲功率譜密度(dBm/Hz),這時式(3)變為:
[page]
以接收機為例,測試原理如圖2所示。
圖2 增益法測試框圖
用信號源和頻譜儀測量出接收機的增益(在接收機能夠接收的電平范圍都可以,如 果感興趣的是接近接收機小信號時的噪聲系數,可以選擇接近靈敏度電平,比如小于- 100 dBm的信號強度);為獲得穩定和準確的噪聲密度讀數,選擇最優的分辨帶寬(RBW)與視頻帶寬(VBW),使頻譜儀上的基底噪聲看起來比較干凈。視頻帶寬越小,頻譜儀上顯示的基底噪聲越小,Pout讀數越準確。
只要頻譜分析儀允許,這種方法可以適用于任何頻率范圍。通常噪聲分析儀在超低的噪聲測量中準確度更高一些。對于系統增益非常高、噪聲系數非常高的場合,這種方法也很準確。最大的限制來自于頻譜儀的噪聲基底。
3 Y系數法
Y系數法是測量噪聲系數的一種典型方法。Y系數是指當被測件(DUT)的輸入端處于2個不同的資用噪聲功率時,在DUT的輸出端得到的2個相應的資用噪聲功率之比。噪聲源是Y系數法測量必不可少的設備,噪聲源是能產生2種不同噪聲功率的噪聲發生器,一般需要用DC脈沖電源驅動電壓,當DC驅動電壓供電時相當于噪聲源開,稱為熱態,此時輸出大的噪聲功率;DC驅動電源關閉時相當于噪聲源關斷,稱為冷態,此時輸出常溫下的噪聲功率。噪聲源的熱溫與冷溫的差值稱為噪聲源的超噪比(ENR)。
測試原理如圖1所示,為了進一步說明其工作原理,下面導出它的工作方程。
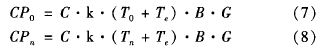
當噪聲源轉移到噪聲溫度T0時,DUT的輸出功率Pn為:
式(5)中,k為波爾茲曼常數,1.38*10- 23J/K,B為帶寬(Hz),G為增益,Te為被測網絡等效輸入噪聲溫度(K)。同理,當噪聲源轉移到噪聲溫度Tn時,DUT的輸出噪聲功率Pn為:
設噪聲系數測試儀的增 益為C,則在上述兩種情況下,噪聲系數測試儀所檢測到的功率分別為CP0和CPn即:

對式(3)和式(4)聯立求解 Te并表示為F,即可得到:
式中,ENR是噪聲源的超噪比(dB), Y=CPn/CP0,功率比值,通常稱為Y系數,F是噪聲系數(dB)。
圖3所示為Y系數量值發生器的組成原理圖。

圖3 Y系數發生器原理圖
首先使噪聲源工作在噪聲溫度T0(冷態),射頻衰減器置于0(dB),標準衰減器置于A0(dB),并使指示器指示在某一位置;然后,噪聲源工作在噪聲溫度Tn(熱態),調整標準衰減器使指示器的指示回到原來位置。設此時的衰減讀數為An,那么A = An - A0(dB),可以得到Y系數的表達式為:
Y系數法適用于大范圍噪聲系數的測量,簡單易行并且準確度高,只需要知道噪聲源的ENR,并測量出噪聲源冷、熱2個狀態下的輸出噪聲功率,不用測量DUT的增益,因此在對噪聲系數準確度做檢定時采用此方法。
[page]
4 實驗驗證
將式(10)給出的Y系數代人式(9),就復現了噪聲系數標準值Fs,結果如表1所示。
我們選用AV3984型微波噪聲系數分析儀進行實驗,其工作頻率為10 MHz~26.5 GHz,實驗框圖如圖4所示。

圖4 實驗框圖
依據圖4所示連接實驗儀器,AV3984的噪聲系數性能指標為±0.25 dB,測試數據如表2所示。
實驗中使用標準衰減器,通過記錄噪聲系數分析儀的Phot值,代入下列公式計算,得出噪聲系數測量值:
結果表明,數據的最大偏差在0.25 dB內。Y系數法能測量很大的噪聲系數范圍,適用于任何頻段,不受增益限制,準確度更高。
實驗中使用智能噪聲源,超噪比表可以自動從噪聲源內上載到噪聲系數分析儀內,也可以在需要的時候通過命令上載。對于需要手動輸入超噪比表的噪聲源,在測量之前一定要確認所使用的超噪比表與噪聲源是匹配的。
噪聲系數FS - Y系數值關系表





