1 、二階壓控低通濾波器
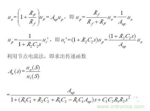
二階壓控低通濾波器電路如圖所示,由R1、C1 及R2、C2 分別構成兩個一階低通濾波器,但C1 接輸出端,引入電壓正反饋,形成壓控濾波器。

(1) 傳遞函數

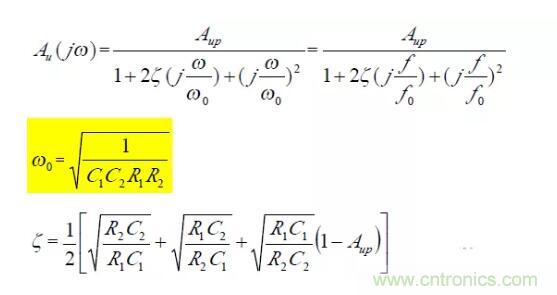
(2) 頻率特性

可見該低通濾波器特點是阻尼系數ζ 由電阻R1、R2,C1、C2 的比決定;而固有頻率ω0與R1、R2、C1、C2 具體數值有關,即ω0與ζ 獨立可調,互不影響。
(3) 參數選擇
為方便參數匹配,考慮到標稱電容種類較少,一般選擇C1=C2=C。通過選擇不同的R1、R2 滿足特定的固有頻率ω0 、ζ 。



2、單位增益二階壓控低通濾波器
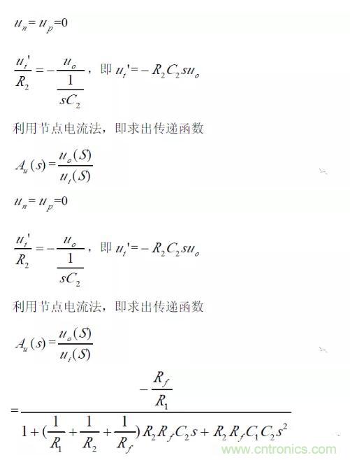
對于二階壓控低通濾波器來說,當通帶放大倍數Aup =1(單位增益)時,圖所示電路變為圖所示,其中RF=R1+R2。

(1) 基本關系



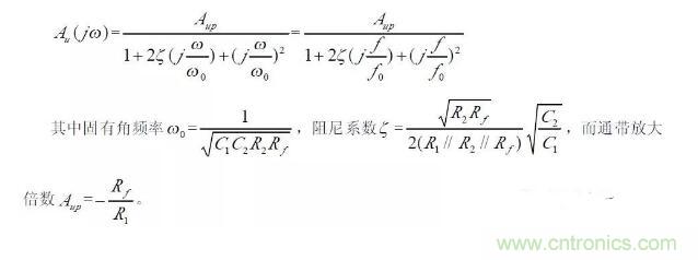
(4) 參數選擇
在固有頻率ω0 、阻尼系數ζ 已知情況下,設計步驟如下:

3、二階低通濾波器

(1) 傳遞函數

(2) 頻率特性

4、無限增益多路反饋低通濾波器

(1) 傳遞函數

(2) 頻率特性




