【導讀】對于 DAC 應用,希望來自 DAC 的噪聲占主導地位,并且人們不希望僅僅為了確保傳輸的噪聲頻譜是白噪聲而在鏈的后面添加噪聲。
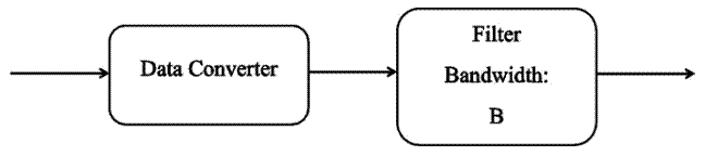
在檢查數據轉換器的性能時,經常會看到圖1所示的情況。
圖 1. 數據轉換器使用的簡化框圖
奈奎斯特帶寬 (B N )中數據轉換器輸出的總噪聲功率為 N。濾波器可以是帶通或低通濾波器,帶寬為 B o。通常,假設濾波器輸出的噪聲功率為:
濾波器輸出的噪聲功率 = N(B o / B N )
等式 1。 請注意,該等式對于任何中心頻率下可能跟隨 ADC 的任何合理濾波器都大致成立。“合理的過濾器”是指不太狹窄的過濾器。
公式 1 假設噪聲是白噪聲,或者隨頻率變化。
你的作者想知道;這個假設(通常稱為偽量化噪聲[14]假設)在什么條件下成立?
參考文獻[3]到[32]涵蓋了這個問題的各個方面。為了澄清問題,作者還對具有各種輸入的數據轉換器進行了一些模擬。本系列了結果。
他只考慮均勻量化(所有步長相等),因為它通常用于高速數據轉換器。此外,沒有考慮西格瑪-德爾塔轉換器。
對于 ADC 應用,通常將 RF 鏈增益設置得足夠大,以便來自先前組件的噪聲比量化噪聲高 3 至 5 dB,因此量化噪聲頻譜并不重要。然而,這可能會增加系統成本,因為需要更高的 RF 增益和 ADC 的更高動態范圍。
對于 DAC 應用,希望來自 DAC 的噪聲占主導地位,并且人們不希望僅僅為了確保傳輸的噪聲頻譜是白噪聲而在鏈的后面添加噪聲。
峰值、平均值和均方根值
定義輸入信號的電平非常重要。圖 2 顯示了用 5 位量化的正弦波。該信號的電平通常稱為0 dBFS;其中 FS 指量化器上的滿量程。但是,射頻工程師通常處理均方根值。由于正弦波的均方根值比峰值低 3 dB,因此圖 2 的正弦波處于 -3 dBrmsFS 或 0 dBpeakFS。
圖 2.
對于本系列的其余部分,信號電平將以 dBrmsFS 或 dBpeakFS 為單位指定,
另請注意,由于功率是電壓的平方,因此該恒定包絡正弦波的峰均功率比 (PAPR) 為 3 dB。事實上,所有帶通相位或調頻恒定包絡信號(例如 MSK)的 PAPR 均為 3 dB。
“等一下!” 你可能會說,親愛的讀者。“MSK 等恒定包絡信號的 PAPR 不是 0 dB 嗎?人們就是這么稱呼它的。”
事實上,當人們以這種方式提到PAPR時,他們指的是包絡的峰值功率與包絡的平均功率的比率。特別是,在表征信號的復包絡[33]時使用對 PAPR 的引用。由于我們關心的是該系列中的實際電壓,因此 PAPR 將是實際峰值功率除以實際平均值功率。該 PAPR 將比通常引用的 PAPR 高 3 dB。在下一篇文章中,我們將繼續討論模數轉換器 (ADC) 輸出的頻譜。
使用的縮寫
請使用下表來了解本系列的其余部分。
免責聲明:本文為轉載文章,轉載此文目的在于傳遞更多信息,版權歸原作者所有。本文所用視頻、圖片、文字如涉及作品版權問題,請聯系小編進行處理。
推薦閱讀:




