【導讀】電阻式傳感器與相應的測量電路組成的測力、測壓、稱重、測位移、加速度、扭矩等測量儀表是冶金、電力、交通、石化、商業、生物醫學和國防等部門進行自動稱重、過程檢測和實現生產過程自動化不可缺少的工具之一。
電阻式傳感器
電阻式傳感器是利用一定的方式將被測量的變化轉化為敏感元件電阻參數的變化,再通過電路轉變成電壓或電流信號的輸出,從而實現非電量的測量。
可用于各種機械量和熱工量的檢測,如用來測量力、壓力、位移、應變、速度、加速度、溫度和濕度等。它結構簡單,性能穩定,成本低廉,在許多行業得到了廣泛應用。
由于構成電阻的材料及種類很多,引起電阻變化的物理原因也很多,這就構成了各種各樣的電阻式傳感元件以及由這些元件構成的電阻式傳感器。

電阻式傳感器的優缺點
1、電阻式傳感器的優點
1)有較大的非線性、輸出信號較弱,但可采取一定的補償措施。因此它廣泛應用于自動測試和控制技術中。
2)電阻應變式傳感器中的電阻應變片具有金屬的應變效應,即在外力作用下產生機械形變,從而使電阻值隨之發生相應的變化。
2、電阻式傳感器的缺點
1)對于大應變有較大的非線性、但輸出信號較弱。
2)隨著時間和環境的變化,構成傳感器的材料和器件性能會發生變化。因此不適用于長期監測,因為時漂、溫漂較大,長時間測的話可能就無法取得真實有效的數據。
3)易受到電場、磁場、振動、輻射、氣壓、聲壓、氣流等的影響。
電阻應變式傳感器
電阻應變式傳感器是根據電阻應變效應的原理制成的,將測量物體的變形轉換成電阻的變化。主要用于機械量的檢測中,如力、壓力等物理量的檢測中,其應用最為廣泛的形式是電阻應變片。
電阻應變效應:導體或半導體材料在外力作用下會產生機械形變,其電阻值也發生相應改變,這種現象稱為電阻應變效應。
金屬電阻應變片的工作原理就是電阻應變效應。

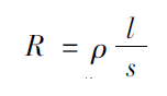
金屬導體的電阻值可表示為:

1、電阻應變片的結構
電阻應變片又稱為電阻應變計,它的結構形式較多,但其主要組成部分基本相同,是由基底、敏感柵和覆蓋層等組成。

1)敏感柵——實現應變到電阻轉換的敏感元件。通常由直徑為0.015~0.05mm的金屬絲繞成柵狀,或用金屬箔腐蝕成柵狀。
2)基底——為保持敏感柵固定的形狀、尺寸和位置,通常用粘結劑將其固結在紙質或膠質的基底上。基底必須很薄,一般為0.02~0.04mm。
3)引線——起著敏感柵與測量電路之間的過渡連接和引導作用。通常取直徑約0.1~0.15mm的低阻鍍錫銅線,并用釬焊與敏感柵端連接。
4)蓋層——用紙、膠作成覆蓋在敏感柵上的保護層,起著防潮、防蝕、防損等作用。
5)粘結劑——制造應變計時,用它分別把蓋層和敏感柵固結于基底,使用應變計時,用它把應變計基底粘貼在試件表面的被測部位,它也起著傳遞應變的作用。
2、電阻應變片的要求:
1)應變靈敏度系數大,且線性范圍寬;
2)電阻率值大,即在同樣長度、同樣橫截面積的電阻絲中具有較大的電阻值;
3)電阻穩定性能好,溫度系數小,其阻值隨環境溫度變化較小;
4)易于焊接,對引線材料的接觸電勢小;
5)抗氧化能力高、耐腐蝕、耐疲勞,機械強度高,具有優良的機械加工性能。
常用金屬電阻絲材料的性能:

3、電阻應變片的分類
按照電阻應變片的制造方法、工作溫度以及用途,可以對電阻應變片進行不同的分類。
根據應變片的制作材料,可以把應變片分為金屬電阻應變片和半導體應變片兩大類。
金屬電阻應變片
金屬絲式應變片由基體材料、金屬應變絲或應變箔、絕緣保護片和引出線等部分組成。
金屬絲式應變片有回線式和短接式二種。回線式最為常用,制作簡單,性能穩定,成本低,易粘貼,但橫向效應較大。絲式金屬電阻應變片的敏感柵由直徑0.01~0.05mm的電阻絲平行排列而成。應變片的阻值為幾十歐至幾十千歐左右。

金屬箔式電阻應變片
它的敏感柵是通過光刻、腐蝕等工藝制成。將合金先軋成厚度為0.002mm~0.01mm的箔材,經過熱處理后在一面圖刷一層0.03~0.05mm厚的樹脂膠,再經聚合固化形成基底。在另一面經照相制版、光刻、腐蝕等工藝制成敏感柵,焊上引線,并涂上與基底相同的樹脂膠作為覆蓋片。

箔式應變計的主要特點:
①工藝上,它能保證敏感柵尺寸準確,線條均勻。大批量生產時,電阻值一致性好,離散程度小。
②箔式應變計的敏感柵的橫截面積為矩形,表面積和截面積之比大,散熱性能好,允許通過的電流較大,靈敏度系數較高。
③箔式應變計比絲式應變計厚度薄,其厚度一般為0.003~0.01mm,由于它的厚度薄,具有較好的可繞性,因此可以根據需要制成任意形狀的敏感柵(即應變花)和微型小基長(如基長為0.1mm),有利于傳遞變形。
④由于箔式應變計的特殊工藝,適合批量生產,且生產效率高。
金屬薄膜應變片
薄膜,一般指厚度不超過0.1μm的膜。金屬薄膜應變片是采用真空蒸鍍、沉積或濺射式陰極擴散等方法按規定圖形制成的掩膜版,在很薄的絕緣基底材料上制成一層金屬電阻材料薄膜以形成敏感柵,再加上保護層而制成。
金屬薄膜應變片可以采用一些高溫材料制成可在高溫條件下工作的電阻應變片。例如,采用鉑或鉻等材料沉積在藍寶石薄片上或覆有陶瓷絕緣層的鉬條上,工作溫度范圍在600℃~800℃。
若按照工作溫度進行分類,可將電阻應變計分為低溫(-30℃以下)、常溫(-30℃~60℃)、中溫(60℃~300℃)和高溫(300℃以上)幾種應變計。

4、電阻應變式傳感器的測量電路
電阻應變式傳感器的測量電路按照工作電源分為直流電源測量電路和交流電源測量電路兩種。
1)直流電橋電路
直流電橋電路是由連接成環形的四個橋臂組成的,每個橋臂上是一個電阻,分別為R1、R2、R3及R4,他們可全部或部分是應變片。

2)交流電橋電路
由于應變電橋輸出電壓很小,一般都要加放大器,而直流放大器易于產生零漂,因此應變電橋多采用交流電橋。

3)電橋的調平衡
在應變片工作之前必須對電橋進行平衡調節。對于直流電橋可采用串聯或并聯電位器法。常用的電橋調平衡電路如圖所示。

(a)為串聯電阻調平衡法 (b)為并聯電阻調平衡法
對于交流電橋一般采用阻容調平衡法,如圖所示。

(c)為差動電容調平衡法 (d)為阻容調平衡法
5、電阻應變式傳感器的粘貼
應變片是用粘結劑粘貼到被測件上的,粘結劑形成的膠層必須準確迅速地將被測件應變傳遞到敏感柵上。選擇粘結劑時必須考慮應變片材料和被測件材料性能,不僅要求粘接力強,粘結后機械性能可靠,而且粘合層要有足夠大的剪切彈性模量,良好的電絕緣性,蠕變和滯后小,耐濕,耐油,耐老化,動態應力測量時耐疲勞等。
應變片的粘貼步驟一般可分為:
(1)應變片的檢查與選擇
(2)試件的表面處理
(3)底層處理
(4)貼片
(5)固化
(6)粘貼質量檢查
(7)引線焊接與組橋連線
應變片的選用:
(1)選擇類型—使用目的、要求、對象、環境
(2)材料考慮—使用溫度、時間、最大應變量及精度。
(3)阻值選擇—根據測量電路和儀器選定標稱電阻
(4)尺寸考慮—試件表面、應力分布、粘貼面積
(5)其他考慮—特殊用途、惡劣環境、高精度
6、電阻應變式傳感器的應用
電阻應變片的應用有兩個方面:一是作為敏感元件,可直接用于被測試件的應變測量;另一方面作為轉換元件,通過彈性元件構成傳感器,可用于對任何能轉換成彈性元件應變的其他物理量的間接測量。
應變片式傳感器的特點:
①應用和測量范圍廣;
②分辨率和靈敏度高、精度較高;
③結構輕小,對試件影響小,環境適應性強,頻率響應好;
④商品化,選用方便,便于實現遠距離、自動化測量。
1)測力傳感器:

2)壓力傳感器:

3)應變式位移傳感器:
應變式位移傳感器是把被測位移量轉變成彈性元件的變形和應變,然后通過應變計和應變電橋,輸出正比于被測位移的電量。

4)應變式加速度傳感器:
通過質量塊與彈性元件的作用,還可將被測加速度轉換成彈性應變,從而構成應變式加速度傳感器。

壓阻式傳感器
有些固體材料在某一軸向受到外力作用時,除了產生變形外,其電阻率ρ也要發生變化,這種由于應力的作用而使材料電阻率發生變化的現象稱為壓阻效應。半導體材料的壓阻效應特別強。利用壓阻效應制成的傳感器稱為壓阻式傳感器。
壓阻式傳感器的靈敏系數大,分辨率高,頻率響應好,體積小。它主要用于測量壓力、加速度和載荷等參數。
1、壓阻式傳感器的分類
壓阻式傳感器是利用半導體材料的壓阻效應而制成的一種純電阻性元件。它主要有三種類型:體型、薄膜型和擴散型。
1)體型壓阻傳感器
利用半導體材料電阻制成粘貼式的應變片(半導體應變片),用此應變片制成的傳感器稱為半導體應變式傳感器,其工作原理是基于半導體材料的壓阻效應。這是一種將半導體材料硅或鍺晶體按一定方向切割成的片狀小條,經腐蝕壓焊粘貼在基片上而成的應變片,其結構如圖。

2)薄膜型壓阻傳感器
薄膜型壓阻傳感器是利用真空沉積技術將半導體材料沉積在帶有絕緣層的試件上而制成的,結構如圖。

3)擴散型壓阻傳感器
擴散型壓阻傳感器是在半導體材料的基片上利用集成電路工藝制成擴散電阻。將P型雜質擴散到N型硅單晶基底上,形成一層極薄的P型導電層,再通過超聲波和熱壓焊法接上引出線就形成了擴散型半導體應變片。

它是一種應用很廣的半導體應變片。擴散型壓阻傳感器的基片是半導體單晶硅。
2、壓阻式傳感器的工作原理
1)工作原理
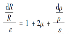
壓阻式傳感器是用半導體材料制成的,其工作原理是基于半導體材料的壓阻效應,當半導體應變片受軸向力作用時,其電阻率 發生變化。其電阻相對變化為:

用應變片測量應變或應力時,在外力作用下,被測對象產生微小機械變形,應變片隨著發生相同的變化,同時應變片電阻值也發生相應變化。半導體應變片與金屬應變片相比,最突出的優點是它的體積小而靈敏度高。
2)溫度誤差及補償
由于半導體材料對溫度很敏感,壓阻式傳感器的電阻值及靈敏度系數隨溫度變化而發生變化,引起的溫度誤差分別為零漂和靈敏度溫漂。壓阻式傳感器一般在半導體基片上擴散四個電阻,當四個擴散電阻的阻值相等或相差不大、電阻溫度系數也相同時,其零漂和靈敏度溫漂都會很小,但工藝上難以實現。由于溫度誤差較大,壓阻式傳感器一般都要進行溫度補償。
3、壓阻式傳感器的應用
利用半導體壓阻效應,可設計成多種類型的壓阻式傳感器。壓阻式傳感器體積小,結構比較簡單,靈敏度高,能測量十幾微帕的微壓,動態響應好,長期穩定性好,滯后和蠕變小,頻率響應高,便于生產,成本低。因此,它在測量壓力、壓差、液位物位、加速度和流量等方面得到了普遍應用。
1)壓力測量
硅壓阻式壓力傳感器由外殼、硅膜片(硅杯)和引線等組成。

2)液位測量
它是根據液面高度與液壓成比例的原理工作的。投入式液位傳感器安裝方便,可適應于深度為幾米至幾十米,且混有大量污物、雜質的水或其他液體的液位測量。

3)加速度測量
它的懸臂梁直接用單晶硅制成,在懸臂梁的根部擴散四個阻值相同的電阻,構成差動全橋。在懸臂梁的自由端裝一質量塊,當傳感器受到加速度作用時,由于慣性,質量塊使懸臂梁發生形變而產生應力,該應力使擴散電阻的阻值發生變化,由電橋的輸出信號可獲得加速度的大小。

隨著集成化技術的發展,集成化、多功能化、智能化的各類混合集成和單片集成式傳感器被廣泛應用。集成化傳感器有壓阻式、電容式類型,其中壓阻式集成化傳感器發展快、應用廣。
本文轉載自傳感器技術mp。
推薦閱讀:




